Cookie preferences
This website uses cookies, which are necessary for the technical operation of the website and are always set. Other cookies, which increase the comfort when using this website, are used for direct advertising or to facilitate interaction with other websites and social networks, are only set with your consent.
Configuration
Technically required
These cookies are necessary for the basic functions of the shop.
"Allow all cookies" cookie
"Decline all cookies" cookie
CSRF token
Cookie preferences
Currency change
Customer-specific caching
FACT-Finder tracking
Individual prices
Selected shop
Session
Comfort functions
These cookies are used to make the shopping experience even more appealing, for example for the recognition of the visitor.
Note
Show the facebook fanpage in the right blod sidebar
Statistics & Tracking
Affiliate program
Conversion and usertracking via Google Tag Manager
Track device being used
If you have any questions, please use our Contact Form.
You can also order by e-mail: info@biomol.com
Larger quantity required? Request bulk
You can also order by e-mail: info@biomol.com
Larger quantity required? Request bulk
Desmopressin is a synthetic version of the endogenous antidiuretic hormone arginine vasopressin... more
Product information "Desmopressin (trifluoroacetate salt)"
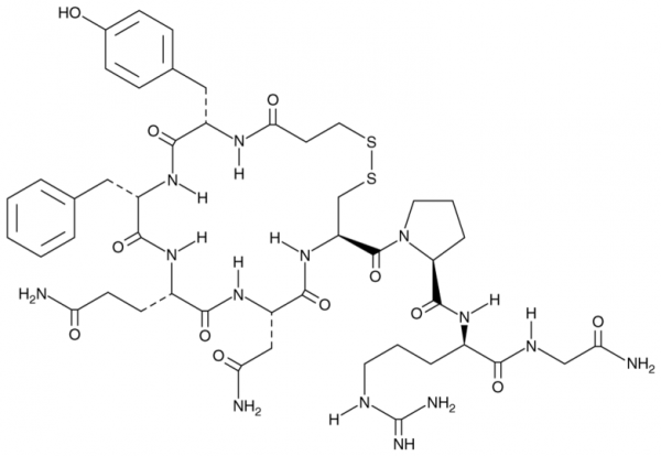
Desmopressin is a synthetic version of the endogenous antidiuretic hormone arginine vasopressin (AVP). Compared to AVP, the first amino acid of desmopressin has been deaminated, and the arginine at the eighth position is in the dextrorotatory rather than the levorotatory form. Desmopressin acts as an agonist at human vasopressin V1a, V1b, and V2 receptors with Ki values of 62.4, 5.8, and 23.3 nM, respectively.Formal Name: N-(3-mercapto-1-oxopropyl)-L-tyrosyl-L-phenylalanyl-L-glutaminyl-L-asparaginyl-L-cysteinyl-L-prolyl-D-arginyl-glycinamide, cyclic (1->5)-disulfide, trifluoroacetate salt. Synonyms: Adiuretin, DDAVP. Molecular Formula: C46H64N14O12S2 . XCF3COOH. Formula Weight: 1069.2. Purity: >95%. Formulation: (Request formulation change), A crystalline solid. Solubility: DMF: 1 mg/ml, DMSO: 5 mg/ml, PBS (pH 7.2): 2 mg/ml. SMILES: NC(CNC([C@@H](CCCNC(N)=N)NC([C@@H]1CCCN1C([C@H](CSSCCC(N[C@@H](CC2=CC=C(O)C=C2)C3=O)=O)NC([C@H](CC(N)=O)NC([C@@H](NC([C@@H](N3)CC4=CC=CC=C4)=O)CCC(N)=O)=O)=O)=O)=O)=O)=O.OC(C(F)(F)F)=O. InChi Code: InChI=1S/C46H64N14O12S2.C2HF3O2/c47-35(62)15-14-29-40(67)58-32(22-36(48)63)43(70)59-33(45(72)60-18-5-9-34(60)44(71)56-28(8-4-17-52-46(50)51)39(66)53-23-37(49)64)24-74-73-19-16-38(65)54-30(21-26-10-12-27(61)13-11-26)41(68)57-31(42(69)55-29)20-25-6-2-1-3-7-25,3-2(4,5)1(6)7/h1-3,6-7,10-13,28-34,61H,4-5,8-9,14-24H2,(H2,47,62)(H2,48,63)(H2,49,64)(H,53,66)(H,54,65)(H,55,69)(H,56,71)(H,57,68)(H,58,67)(H,59,70)(H4,50,51,52),(H,6,7)/t28-,29+,30+,31+,32+,33+,34+,/m1./s1. InChi Key: SSJRGONHCCPVKV-IFHOVBQLSA-N.
| Keywords: | Adiuretin, DDAVP, N-(3-mercapto-1-oxopropyl)-L-tyrosyl-L-phenylalanyl-L-glutaminyl-L-asparaginyl-L-cysteinyl-L-prolyl-D-arginyl-glycinamide, cyclic (1->5)-disulfide |
| Supplier: | Cayman Chemical |
| Supplier-Nr: | 17348 |
Properties
| Application: | Vasopressin V1a, V1b, V2 receptor agonist |
| Conjugate: | No |
| MW: | 1069.2 D |
| Formula: | C46H64N14O12S2 . XCF3COOH |
| Purity: | >95% |
| Format: | Crystalline Solid |
Database Information
| KEGG ID : | K04228 | Matching products |
Handling & Safety
| Storage: | -20°C |
| Shipping: | +20°C (International: -20°C) |
| Signal Word: | Danger |
| GHS Hazard Pictograms: |
|
| H Phrases: | H314, H317, H332, H334 |
| P Phrases: | P260, P261, P264, P271, P272, P280, P284, P310, P312, P321, P363, P301+P330+P331, P302+P352, P303+P361+P353, P304+P340, P304+P341, P305+P351+P338, P333+P313, P342+P311, P362+P364, P405, P501 |
Caution
Our products are for laboratory research use only: Not for administration to humans!
Our products are for laboratory research use only: Not for administration to humans!
Information about the product reference will follow.
more
You will get a certificate here
Viewed