This website uses cookies, which are necessary for the technical operation of the website and are always set. Other cookies, which increase the comfort when using this website, are used for direct advertising or to facilitate interaction with other websites and social networks, are only set with your consent.
Configuration
Technically required
These cookies are necessary for the basic functions of the shop.
"Allow all cookies" cookie
"Decline all cookies" cookie
CSRF token
Cookie preferences
Currency change
Customer-specific caching
FACT-Finder tracking
Individual prices
Selected shop
Session
Comfort functions
These cookies are used to make the shopping experience even more appealing, for example for the recognition of the visitor.
Note
Show the facebook fanpage in the right blod sidebar
Statistics & Tracking
Affiliate program
Conversion and usertracking via Google Tag Manager
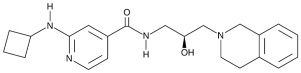
GSK591 is a chemical probe for protein arginine methyltransferase 5 (PRMT5) that potently inhibits the PRMT5/MEP50 complex from methylating histone H4 (IC50 = 11 nM) in vitro. GSK591 is selective for PRMT5 (up to 50 µM) relative to a panel of other methyltransferases. In Z-138 cells, GSK591 inhibits the symmetric arginine methylation of SmD3 with an EC50 value of 56 nM. For more information on GSK591 please visit the Structural Genomics Consortium (SGC). The negative control, SGC2096, for GSK591 is also available exclusively through the SGC. You can submit a request to receive the negative control here.Formal Name: 2-(cyclobutylamino)-N-[(2S)-3-(3,4-dihydro-2(1H)-isoquinolinyl)-2-hydroxypropyl]-4-pyridinecarboxamide. CAS Number: 1616391-87-7. Synonyms: EPZ015866, GSK3203591. Molecular Formula: C22H28N4O2. Formula Weight: 380.5. Purity: >95%. Formulation: (Request formulation change), A crystalline solid. Solubility: DMF: 16 mg/ml, DMSO: 16 mg/ml, DMSO:PBS (pH 7.2) (1:3): 0.25 mg/ml, Ethanol: 12 mg/ml. lambdamax: 251, 340 nm. SMILES: O=C(C1=CC(NC2CCC2)=NC=C1)NC[C@H](O)CN3CCC(C=CC=C4)=C4C3. InChi Code: InChI=1S/C22H28N4O2/c27-20(15-26-11-9-16-4-1-2-5-18(16)14-26)13-24-22(28)17-8-10-23-21(12-17)25-19-6-3-7-19/h1-2,4-5,8,10,12,19-20,27H,3,6-7,9,11,13-15H2,(H,23,25)(H,24,28)/t20-/m0/s1. InChi Key: TWKYXZSXXXKKJU-FQEVSTJZSA-N.
This website uses cookies, which are necessary for the technical operation of the website and are always set. Other cookies, which increase the usability of this website, serve for direct advertising or simplify interaction with other websites and social networks, will only be used with your consent.
More information