This website uses cookies, which are necessary for the technical operation of the website and are always set. Other cookies, which increase the comfort when using this website, are used for direct advertising or to facilitate interaction with other websites and social networks, are only set with your consent.
Configuration
Technically required
These cookies are necessary for the basic functions of the shop.
"Allow all cookies" cookie
"Decline all cookies" cookie
CSRF token
Cookie preferences
Currency change
Customer-specific caching
FACT-Finder tracking
Individual prices
Selected shop
Session
Comfort functions
These cookies are used to make the shopping experience even more appealing, for example for the recognition of the visitor.
Note
Show the facebook fanpage in the right blod sidebar
Statistics & Tracking
Affiliate program
Conversion and usertracking via Google Tag Manager
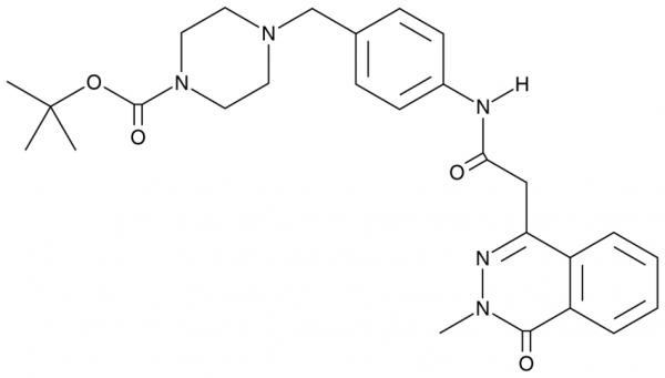
PH-002 is an inhibitor of the interaction between the amino- and carboxy-terminal domains of apolipoprotein E4 (ApoE4, IC50 = 116 nM in a FRET reporter assay for domain interaction). It restores intracellular trafficking of ApoE4 to the endoplasmic reticulum and Golgi apparatus in Neuro-2a cells expressing EGFP-ApoE4 or EGFP-ApoE4-R61T, a mutation that impairs ApoE4 domain interactions, when used at a concentration of 100 nM. PH-002 also prevents impairments in neurite outgrowth and dendritic spine development induced by expression of ApoE4 in Neuro-2a cells. It restores levels of mitochondrial complex IV subunit 1 in Neuro-2a cells expressing ApoE4 (EC50 = 39 nM) and increases mitochondrial motility in PC12 cells expressing ApoE4 (EC50 = <1 nM).Formal Name: 4-[[4-[[2-(3,4-dihydro-3-methyl-4-oxo-1-phthalazinyl)acetyl]amino]phenyl]methyl]-1-piperazinecarboxylic acid, 1,1-dimethylethyl ester. CAS Number: 1311174-68-1. Molecular Formula: C27H33N5O4. Formula Weight: 491.6. Purity: >98%. Formulation: (Request formulation change), A solid. Solubility: DMF: 15mg/mL, DMF:PBS (pH 7.2) (1:9): 0.1mg/mL, DMSO: 10mg/mL, Ethanol: 10mg/mL. lambdamax: 248 nm. SMILES: O=C(OC(C)(C)C)N1CCN(CC2=CC=C(NC(CC3=NN(C)C(C4=C3C=CC=C4)=O)=O)C=C2)CC1. InChi Code: InChI=1S/C27H33N5O4/c1-27(2,3)36-26(35)32-15-13-31(14-16-32)18-19-9-11-20(12-10-19)28-24(33)17-23-21-7-5-6-8-22(21)25(34)30(4)29-23/h5-12H,13-18H2,1-4H3,(H,28,33). InChi Key: GSXXTLWPQMHHDJ-UHFFFAOYSA-N.
This website uses cookies, which are necessary for the technical operation of the website and are always set. Other cookies, which increase the usability of this website, serve for direct advertising or simplify interaction with other websites and social networks, will only be used with your consent.
More information