This website uses cookies, which are necessary for the technical operation of the website and are always set. Other cookies, which increase the comfort when using this website, are used for direct advertising or to facilitate interaction with other websites and social networks, are only set with your consent.
Configuration
Technically required
These cookies are necessary for the basic functions of the shop.
"Allow all cookies" cookie
"Decline all cookies" cookie
CSRF token
Cookie preferences
Currency change
Customer-specific caching
FACT-Finder tracking
Individual prices
Selected shop
Session
Comfort functions
These cookies are used to make the shopping experience even more appealing, for example for the recognition of the visitor.
Note
Show the facebook fanpage in the right blod sidebar
Statistics & Tracking
Affiliate program
Conversion and usertracking via Google Tag Manager
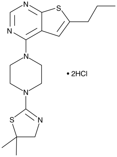
Menin, a product of the multiple endocrine neoplasia gene, is an essential component of histone methyltransferase complexes involving the mixed lineage leukemia (MLL) gene product. Also, the leukemogenic activity of MLL fusion proteins depends on their direct interaction with menin. MI-2 potently binds menin, blocks the menin-MLL fusion protein interaction (IC50 = 0.45 µM), and induces apoptosis in cells expressing MLL fusion proteins. Its actions can be compared with those of MI-nc (Cay-11621), a weak inhibitor of the menin MLL interaction (IC50 = 193 µM).Formal Name: 4-(4-(5,5-dimethyl-4,5-dihydrothiazol-2-yl)piperazin-1-yl)-6-propylthieno[2,3-d]pyrimidine, dihydrochloride. Molecular Formula: C18H25N5S2 . 2HCl. Formula Weight: 448.5. Purity: >98%. Formulation: (Request formulation change), A crystalline solid. Solubility: DMF: 20 mg/ml, DMSO: 10 mg/ml, Ethanol: 30 mg/ml. lambdamax: 224, 284 nm. SMILES: CCCC(S1)=CC(C1=NC=N2)=C2N3CCN(C4=NCC(C)(C)S4)CC3.Cl.Cl. InChi Code: InChI=1S/C18H25N5S2.2ClH/c1-4-5-13-10-14-15(20-12-21-16(14)24-13)22-6-8-23(9-7-22)17-19-11-18(2,3)25-17,,/h10,12H,4-9,11H2,1-3H3,2*1H. InChi Key: BJVIQDRKAQVWIM-UHFFFAOYSA-N.
This website uses cookies, which are necessary for the technical operation of the website and are always set. Other cookies, which increase the usability of this website, serve for direct advertising or simplify interaction with other websites and social networks, will only be used with your consent.
More information