This website uses cookies, which are necessary for the technical operation of the website and are always set. Other cookies, which increase the comfort when using this website, are used for direct advertising or to facilitate interaction with other websites and social networks, are only set with your consent.
Configuration
Technically required
These cookies are necessary for the basic functions of the shop.
"Allow all cookies" cookie
"Decline all cookies" cookie
CSRF token
Cookie preferences
Currency change
Customer-specific caching
FACT-Finder tracking
Individual prices
Selected shop
Session
Comfort functions
These cookies are used to make the shopping experience even more appealing, for example for the recognition of the visitor.
Note
Show the facebook fanpage in the right blod sidebar
Statistics & Tracking
Affiliate program
Conversion and usertracking via Google Tag Manager
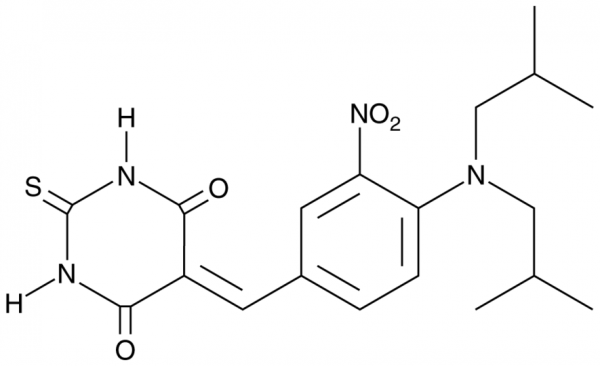
M2I-1 is an inhibitor of the protein-protein interaction between the spindle assembly checkpoint protein mitotic arrest deficient 2 (Mad2) and cell division cycle 20 (Cdc20), a coactivator of the anaphase-promoting complex/cyclosome (APC/C). It inhibits Mad2 binding to Cdc20111-138 when used at concentrations ranging from 6.25 to 100 µM. M2I-1 (25 µM) reduces increases in mitotic duration induced by paclitaxel (Cay-10461) in HeLa cells. M2I-1 (20-120 µM) reduces 4-cell embryo and blastocyst formation in hydrogen peroxide-exposed mouse zygotes, as well as increases the rate of sex chromosome mosaicism in male mouse in vitro fertilization-derived embryos.Formal Name: 5-[[4-[bis(2-methylpropyl)amino]-3-nitrophenyl]methylene]dihydro-2-thioxo-4,6(1H,5H)-pyrimidinedione. CAS Number: 312271-03-7. Synonyms: Mad2 Inhibitor-1. Molecular Formula: C19H24N4O4S. Formula Weight: 404.5. Purity: >98%. Formulation: (Request formulation change), A crystalline solid. Solubility: DMF: 25 mg/ml, DMSO: 25 mg/ml, Ethanol: slightly soluble. lambdamax: 229, 247, 272, 467 nm. SMILES: S=C1NC(/C(C(N1)=O)=C/C2=CC=C(N(CC(C)C)CC(C)C)C([N+]([O-])=O)=C2)=O. InChi Code: InChI=1S/C19H24N4O4S/c1-11(2)9-22(10-12(3)4)15-6-5-13(8-16(15)23(26)27)7-14-17(24)20-19(28)21-18(14)25/h5-8,11-12H,9-10H2,1-4H3,(H2,20,21,24,25,28). InChi Key: BWEKPQUKWLNUKX-UHFFFAOYSA-N.
This website uses cookies, which are necessary for the technical operation of the website and are always set. Other cookies, which increase the usability of this website, serve for direct advertising or simplify interaction with other websites and social networks, will only be used with your consent.
More information