This website uses cookies, which are necessary for the technical operation of the website and are always set. Other cookies, which increase the comfort when using this website, are used for direct advertising or to facilitate interaction with other websites and social networks, are only set with your consent.
Configuration
Technically required
These cookies are necessary for the basic functions of the shop.
"Allow all cookies" cookie
"Decline all cookies" cookie
CSRF token
Cookie preferences
Currency change
Customer-specific caching
FACT-Finder tracking
Individual prices
Selected shop
Session
Comfort functions
These cookies are used to make the shopping experience even more appealing, for example for the recognition of the visitor.
Note
Show the facebook fanpage in the right blod sidebar
Statistics & Tracking
Affiliate program
Conversion and usertracking via Google Tag Manager
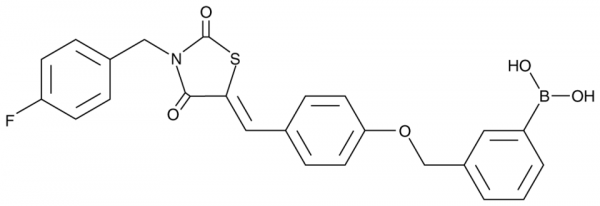
HA-130 is a reversible inhibitor of autotaxin, completely blocking the hydrolysis of the substrate bis-pNPP with an IC50 value of 28 nM. It does not affect the activity of any proteasomal protease or related enzymes. HA-130 rapidly decreases plasma lysophosphatidic acid levels in mice when given intravenously (1 nM/g). HA-130 has been used to investigate the role of autotaxin in cells and animals.Formal Name: B-[3-[[4-[[3-[(4-fluorophenyl)methyl]-2,4-dioxo-5-thiazolidinylidene]methyl]phenoxy]methyl]phenyl]-boronic acid. CAS Number: 1229652-21-4. Molecular Formula: C24H19BFNO5S. Formula Weight: 463.3. Purity: >98%. Formulation: (Request formulation change), A crystalline solid. Solubility: DMF: 10 mg/mL, DMSO: 5 mg/mL, Ethanol: 0.5 mg/mL. lambdamax: 239, 348 nm. SMILES: FC1=CC=C(CN2C(/C(SC2=O)=C/C3=CC=C(OCC4=CC=CC(B(O)O)=C4)C=C3)=O)C=C1. InChi Code: InChI=1S/C24H19BFNO5S/c26-20-8-4-17(5-9-20)14-27-23(28)22(33-24(27)29)13-16-6-10-21(11-7-16)32-15-18-2-1-3-19(12-18)25(30)31/h1-13,30-31H,14-15H2/b22-13-. InChi Key: VTNKMYWFWQTEHE-XKZIYDEJSA-N.
This website uses cookies, which are necessary for the technical operation of the website and are always set. Other cookies, which increase the usability of this website, serve for direct advertising or simplify interaction with other websites and social networks, will only be used with your consent.
More information