This website uses cookies, which are necessary for the technical operation of the website and are always set. Other cookies, which increase the comfort when using this website, are used for direct advertising or to facilitate interaction with other websites and social networks, are only set with your consent.
Configuration
Technically required
These cookies are necessary for the basic functions of the shop.
"Allow all cookies" cookie
"Decline all cookies" cookie
CSRF token
Cookie preferences
Currency change
Customer-specific caching
FACT-Finder tracking
Individual prices
Selected shop
Session
Comfort functions
These cookies are used to make the shopping experience even more appealing, for example for the recognition of the visitor.
Note
Show the facebook fanpage in the right blod sidebar
Statistics & Tracking
Affiliate program
Conversion and usertracking via Google Tag Manager
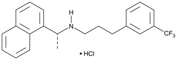
Cinacalcet is a calcimimetic and an allosteric agonist of the calcium-sensing receptor (CaSR, EC50 = 79.4 nM in HEK293T cells expressing the human receptor). In vivo, cinacalcet (0.1-10 mg/kg, s.c.) decreases plasma levels of parathyroid hormone (PTH) in rats. It also decreases plasma levels of PTH and parathyroid cell proliferation in a mouse model of primary hyperparathyroidism. Formulations containing cinacalcet have been used in the treatment of secondary hyperparathyroidism due to end-stage renal disease and hypercalcemia in patients with parathyroid carcinoma.Formal Name: alphaR-methyl-N-[3-[3-(trifluoromethyl)phenyl]propyl]-1-naphthalenemethanamine, monohydrochloride. CAS Number: 364782-34-3. Synonyms: AMG 073, KRN 1493, Mimpara. Molecular Formula: C22H22F3N . HCl. Formula Weight: 393.9. Purity: >95%. Formulation: (Request formulation change), A crystalline solid. Solubility: DMF: 30 mg/ml, DMSO: 30 mg/ml, Ethanol: 30 mg/ml, Ethanol:PBS (pH 7.2)(1:2): 0.3 mg/ml. lambdamax: 223, 282 nm. SMILES: C[C@@H](NCCCC1=CC(C(F)(F)F)=CC=C1)C2=CC=CC3=C2C=CC=C3.Cl. InChi Code: InChI=1S/C22H22F3N.ClH/c1-16(20-13-5-10-18-9-2-3-12-21(18)20)26-14-6-8-17-7-4-11-19(15-17)22(23,24)25,/h2-5,7,9-13,15-16,26H,6,8,14H2,1H3,1H/t16-,/m1./s1. InChi Key: QANQWUQOEJZMLL-PKLMIRHRSA-N.
This website uses cookies, which are necessary for the technical operation of the website and are always set. Other cookies, which increase the usability of this website, serve for direct advertising or simplify interaction with other websites and social networks, will only be used with your consent.
More information