Mitochondrial Complex II Activity Assay Kit

Item number Size Datasheet Manual SDS Delivery time Quantity Price
E-BC-K150-M.48 48 wells -

7 - 16 business days*

324.00€
E-BC-K150-M.96 96 tests -

7 - 16 business days*

486.00€
 
Detection instrument: Microplate reader. Detection principle: Coenzyme Q, the catalytic product... more
Product information "Mitochondrial Complex II Activity Assay Kit"
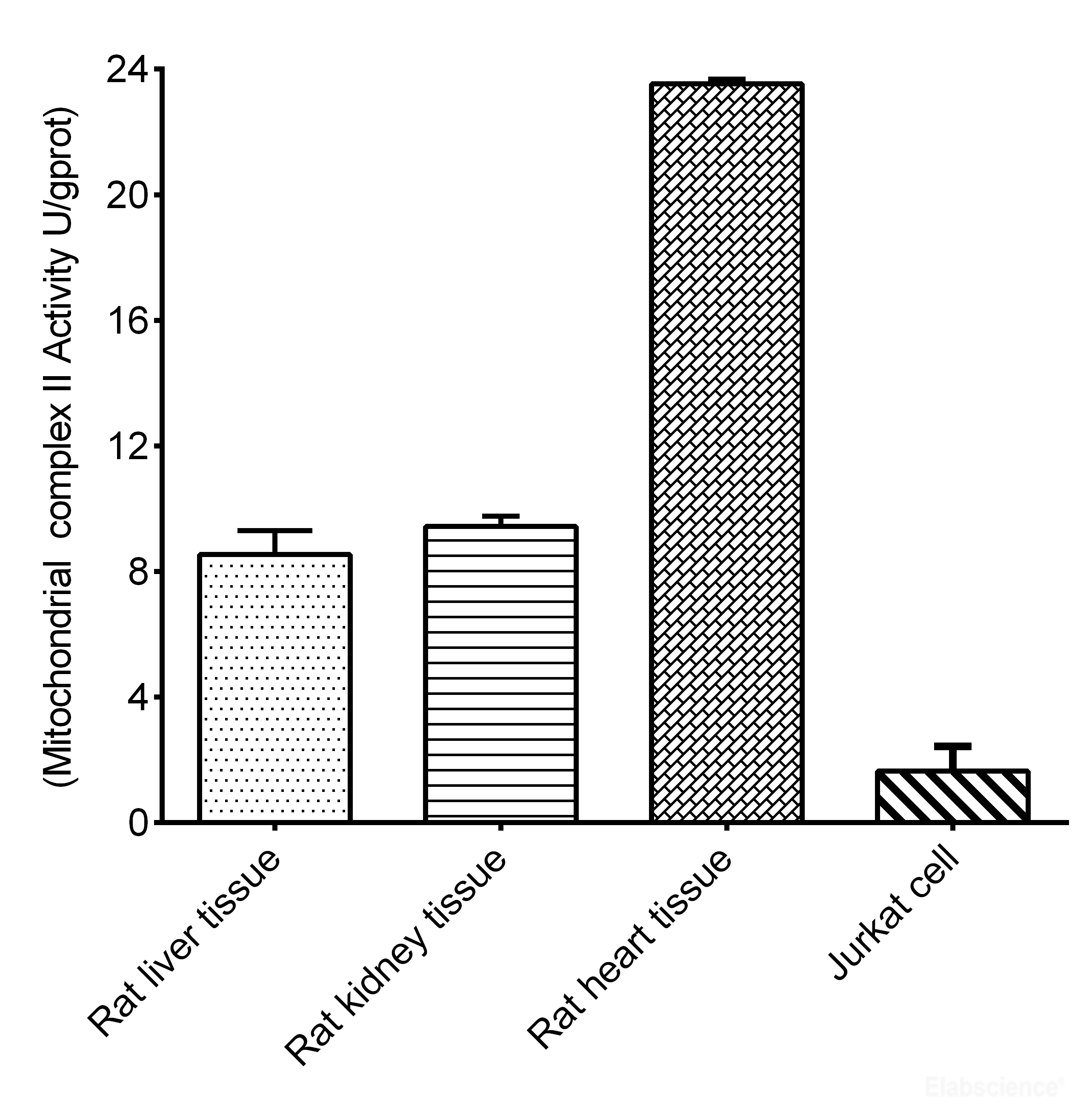
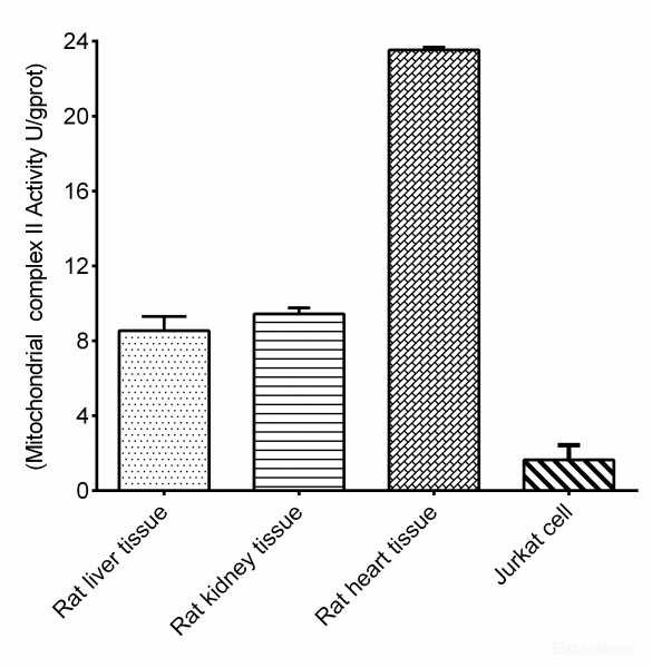
Detection instrument: Microplate reader. Detection principle: Coenzyme Q, the catalytic product of mitochondrial complex II, can further reduce 2, 6-dichloroindoxol, which has a characteristic absorption peak at 600 nm. Therefore, the activity of mitochondrial complex II can be quantified by measure the change OD value at 600 nm. Sample type: animal tissue, cell. Research area: Enzymes,Tricarboxylic Acid(TCA) Cycle. Assay time: 15 min. Sensitivity: 0.54 U/L. Detection range: 0.54-17.66 U/L. Recovery rate: 97. Inter CV: 5. Intra CV: 4
Keywords: Fp, SDHA, SDH2, Flavoprotein subunit of complex II, Succinate dehydrogenase [ubiquinone] flavoprotein subunit, mitochondrial
Supplier: Elabscience
Supplier-Nr: E-BC-K150-M

Properties

Handling & Safety

Storage: +4°C
Shipping: +4°C (International: +4°C)
Caution
Our products are for laboratory research use only: Not for administration to humans!
You will get a certificate here
or to request a certificate of analysis.
Read, write and discuss reviews... more
Customer review for "Mitochondrial Complex II Activity Assay Kit"
Write a review
or to review a product.
Viewed