Cookie preferences
This website uses cookies, which are necessary for the technical operation of the website and are always set. Other cookies, which increase the comfort when using this website, are used for direct advertising or to facilitate interaction with other websites and social networks, are only set with your consent.
Configuration
Technically required
These cookies are necessary for the basic functions of the shop.
"Allow all cookies" cookie
"Decline all cookies" cookie
CSRF token
Cookie preferences
Currency change
Customer-specific caching
FACT-Finder tracking
Individual prices
Selected shop
Session
Comfort functions
These cookies are used to make the shopping experience even more appealing, for example for the recognition of the visitor.
Note
Show the facebook fanpage in the right blod sidebar
Statistics & Tracking
Affiliate program
Conversion and usertracking via Google Tag Manager
Track device being used
| Item number | Size | Datasheet | Manual | SDS | Delivery time | Quantity | Price |
|---|---|---|---|---|---|---|---|
| KT-A2R-HM1N1-100UG | 100 µg | - |
7 - 10 business days* |
1,234.00€
|
If you have any questions, please use our Contact Form.
You can also order by e-mail: info@biomol.com
Larger quantity required? Request bulk
You can also order by e-mail: info@biomol.com
Larger quantity required? Request bulk
Recombinant Human A2AR Protein-Nanodisc is expressed from HEK293 with His tag at the... more
Product information "Human A2AR Protein-Nanodisc"
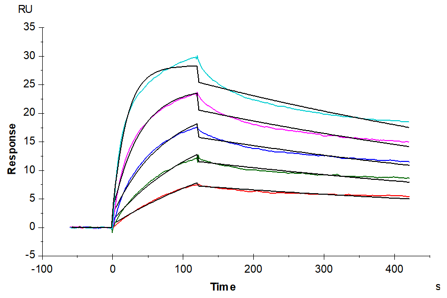
Recombinant Human A2AR Protein-Nanodisc is expressed from HEK293 with His tag at the C-terminus.It contains Met1-Ser412. Adenosine is a neuromodulator in the adult central nervous system. Membrane-bound receptors for adenosine have been identified and cDNAs for A1, A2a, A2b, and A3 adenosine receptor subtypes have been cloned recently.Expression of A2a adenosine receptor mRNA in cranial ganglia, carotid body, and intermediate lobe of the pituitary gland similarly suggests novel sites of adenosine action during development and in the adult.
| Supplier: | KACTUS |
| Supplier-Nr: | A2R-HM1N1 |
Properties
| Host: | Human cells |
| Species reactivity: | human |
| MW: | 45.5 kD |
| Format: | Solution |
Database Information
| UniProt ID : | P29274 | Matching products |
Handling & Safety
| Storage: | -80°C (avoid repeat freezing and thawing cycles) |
| Shipping: | -20°C (International: -20°C) |
Caution
Our products are for laboratory research use only: Not for administration to humans!
Our products are for laboratory research use only: Not for administration to humans!
You will get a certificate here
Viewed