Cookie preferences
This website uses cookies, which are necessary for the technical operation of the website and are always set. Other cookies, which increase the comfort when using this website, are used for direct advertising or to facilitate interaction with other websites and social networks, are only set with your consent.
Configuration
Technically required
These cookies are necessary for the basic functions of the shop.
"Allow all cookies" cookie
"Decline all cookies" cookie
CSRF token
Cookie preferences
Currency change
Customer-specific caching
FACT-Finder tracking
Individual prices
Selected shop
Session
Comfort functions
These cookies are used to make the shopping experience even more appealing, for example for the recognition of the visitor.
Note
Show the facebook fanpage in the right blod sidebar
Statistics & Tracking
Affiliate program
Conversion and usertracking via Google Tag Manager
Track device being used
| Item number | Size | Datasheet | Manual | SDS | Delivery time | Quantity | Price |
|---|---|---|---|---|---|---|---|
| KT-TSF-HM00N-100UG | 100 µg | - |
7 - 10 business days* |
1,234.00€
|
If you have any questions, please use our Contact Form.
You can also order by e-mail: info@biomol.com
Larger quantity required? Request bulk
You can also order by e-mail: info@biomol.com
Larger quantity required? Request bulk
Recombinant FITC-equivalent Human TM4SF1 Protein-Nanodisc is expressed from HEK293 with His tag... more
Product information "FITC-equivalent Human TM4SF1 Protein-Nanodisc"
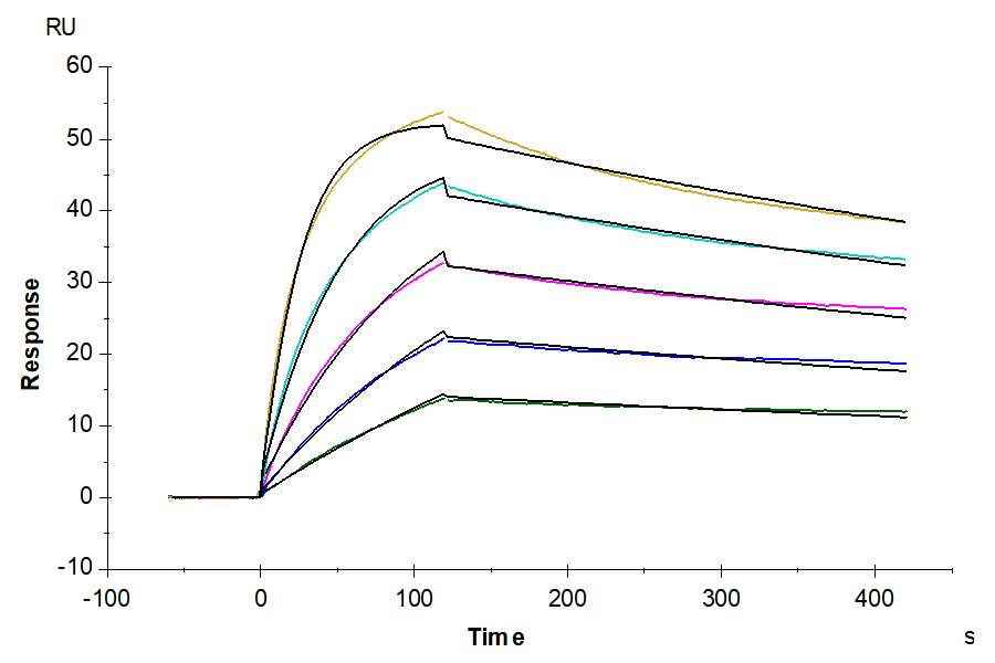
Recombinant FITC-equivalent Human TM4SF1 Protein-Nanodisc is expressed from HEK293 with His tag at the N-terminus.It contains Met1-Cys202. Transmembrane-4-L-six-family-1(TM4SF1), a four-transmembrane L6 family member, is highly expressed in various pancreatic cancer cell lines and promotes cancer cells metastasis. It is upregulated in several epithelial cancers and is closely associated with poor prognosis.
| Keywords: | M3S1, TM4SF1, Tumor-associated antigen L6, Transmembrane 4 L6 family member 1, Membrane component chromosome 3 surface marker 1 |
| Supplier: | KACTUS |
| Supplier-Nr: | TSF-HM00N |
Properties
| Conjugate: | Fluorescein |
| Host: | Human cells |
| Species reactivity: | human |
| MW: | 51.80 kD |
| Format: | Solution |
Database Information
| UniProt ID : | P30408 | Matching products |
| Gene ID : | GeneID 4071 | Matching products |
Handling & Safety
| Storage: | +4°C |
| Shipping: | -20°C (International: -20°C) |
Caution
Our products are for laboratory research use only: Not for administration to humans!
Our products are for laboratory research use only: Not for administration to humans!
You will get a certificate here
Viewed