Eicosapentaenoyl 1-propanol-2-amide

Eicosapentaenoyl 1-propanol-2-amide
Item number Size Datasheet Manual SDS Delivery time Quantity Price
Cay17547-1 1 mg -

6 - 10 business days*

49.00€
Cay17547-5 5 mg -

6 - 10 business days*

207.00€
Cay17547-10 10 mg -

6 - 10 business days*

361.00€
Cay17547-25 25 mg -

6 - 10 business days*

791.00€
 
Monoacylglycerols (MAGs) of omega-3 polyunsaturated fatty acids have diverse physiological and... more
Product information "Eicosapentaenoyl 1-propanol-2-amide"
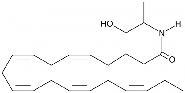
Monoacylglycerols (MAGs) of omega-3 polyunsaturated fatty acids have diverse physiological and health effects. In particular, MAGs containing docosahexaenoic acid (Cay-90310) or eicosapentaenoic acid (EPA, Cay-90110) have anti-proliferative properties against colon and lung cancer cell lines. Eicosapentaenoyl 1-propanol-2-amide is an EPA-containing MAG amide analog that inhibits the growth of human lung carcinoma A549 cells, producing 98.4% growth inhibition when applied at 3 µM. It is an analog of eicosapentaenoyl ethanolamide (Cay-10964), a natural N-acylethanolamide that impacts aging and inflammation.Formal Name: N-(2-hydroxy-1-methylethyl)-5Z,8Z,11Z,14Z,17Z-eicosapentaenamide. CAS Number: 1638355-66-4. Molecular Formula: C23H37NO2. Formula Weight: 359.6. Purity: >98%. Formulation: (Request formulation change), A solution in ethanol. Solubility: DMF: 30 mg/ml, DMSO: 30 mg/ml, Ethanol: 30 mg/ml, Ethanol:PBS (pH 7.2) (1:2): 0.3 mg/ml. SMILES: CC/C=C\C/C=C\C/C=C\C/C=C\C/C=C\CCCC(NC(CO)C)=O. InChi Code: InChI=1S/C23H37NO2/c1-3-4-5-6-7-8-9-10-11-12-13-14-15-16-17-18-19-20-23(26)24-22(2)21-25/h4-5,7-8,10-11,13-14,16-17,22,25H,3,6,9,12,15,18-21H2,1-2H3,(H,24,26)/b5-4-,8-7-,11-10-,14-13-,17-16-. InChi Key: XOYVLIGJHWVUFH-JEBPEJKESA-N.
Keywords: N-(2-hydroxy-1-methylethyl)-5Z,8Z,11Z,14Z,17Z-eicosapentaenamide
Supplier: Cayman Chemical
Supplier-Nr: 17547

Properties

Application: Antiproliferative
MW: 359.6 D
Formula: C23H37NO2
Purity: >98%
Format: Solution

Database Information

CAS : 1638355-66-4| Matching products

Handling & Safety

Storage: -20°C
Shipping: -20°C (International: -20°C)
Signal Word: Danger
GHS Hazard Pictograms:
H Phrases: H225, H319, H333
P Phrases: P210, P233, P240, P241, P242, P243, P264, P280, P304, P312, P303+P361+P353, P305+P351+P338, P337+P313, P370+P378, P403+P235, P501
Caution
Our products are for laboratory research use only: Not for administration to humans!
You will get a certificate here
or to request a certificate of analysis.
Read, write and discuss reviews... more
Customer review for "Eicosapentaenoyl 1-propanol-2-amide"
Write a review
or to review a product.
Viewed