This website uses cookies, which are necessary for the technical operation of the website and are always set. Other cookies, which increase the comfort when using this website, are used for direct advertising or to facilitate interaction with other websites and social networks, are only set with your consent.
Configuration
Technically required
These cookies are necessary for the basic functions of the shop.
"Allow all cookies" cookie
"Decline all cookies" cookie
CSRF token
Cookie preferences
Currency change
Customer-specific caching
FACT-Finder tracking
Individual prices
Selected shop
Session
Comfort functions
These cookies are used to make the shopping experience even more appealing, for example for the recognition of the visitor.
Note
Show the facebook fanpage in the right blod sidebar
Statistics & Tracking
Affiliate program
Conversion and usertracking via Google Tag Manager
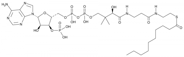
Product information "Decanoyl-Coenzyme A (hydrate)"
Decanoyl-coenzyme A (CoA) is a thioester of decanoic acid (Cay-20838) and CoA (Cay-16147, Cay-21499, Cay-21722). It inhibits the activity of citrate synthase (CS) and glutamate dehydrogenase (GDH) in mitochondria isolated from rat brain (IC50s = 437 and 420 µM, respectively). Decanoyl-CoA also binds the fatty acid metabolism regulator protein (FadR) promoter in E. coli (Ki = 2 µM). It is produced during isomerase-dependent beta-oxidation of oleic acid (Cay-90260, Cay-24659) in isolated rat heart mitochondria.Formal Name: S-decanoate coenzyme A, hydrate. Synonyms: Decanoyl-CoA. Molecular Formula: C31H54N7O17P3S . XH2O. Formula Weight: 921.8. Purity: >90%. Formulation: (Request formulation change), A solid. Solubility: Water: 20 mg/ml. SMILES: O[C@H]1[C@H](N2C=NC3=C2N=CN=C3N)O[C@H](COP(OP(OCC(C)(C)[C@@H](O)C(NCCC(NCCSC(CCCCCCCCC)=O)=O)=O)(O)=O)(O)=O)[C@H]1OP(O)(O)=O.O. InChi Code: InChI=1S/C31H54N7O17P3S.H2O/c1-4-5-6-7-8-9-10-11-22(40)59-15-14-33-21(39)12-13-34-29(43)26(42)31(2,3)17-52-58(49,50)55-57(47,48)51-16-20-25(54-56(44,45)46)24(41)30(53-20)38-19-37-23-27(32)35-18-36-28(23)38,/h18-20,24-26,30,41-42H,4-17H2,1-3H3,(H,33,39)(H,34,43)(H,47,48)(H,49,50)(H2,32,35,36)(H2,44,45,46),1H2/t20-,24-,25-,26+,30-,/m1./s1. InChi Key: IRILGPHKFKSRQN-ASEPKIFHSA-N.
This website uses cookies, which are necessary for the technical operation of the website and are always set. Other cookies, which increase the usability of this website, serve for direct advertising or simplify interaction with other websites and social networks, will only be used with your consent.
More information