Cookie preferences
This website uses cookies, which are necessary for the technical operation of the website and are always set. Other cookies, which increase the comfort when using this website, are used for direct advertising or to facilitate interaction with other websites and social networks, are only set with your consent.
Configuration
Technically required
These cookies are necessary for the basic functions of the shop.
"Allow all cookies" cookie
"Decline all cookies" cookie
CSRF token
Cookie preferences
Currency change
Customer-specific caching
FACT-Finder tracking
Individual prices
Selected shop
Session
Comfort functions
These cookies are used to make the shopping experience even more appealing, for example for the recognition of the visitor.
Note
Show the facebook fanpage in the right blod sidebar
Statistics & Tracking
Affiliate program
Conversion and usertracking via Google Tag Manager
Track device being used
| Item number | Size | Datasheet | Manual | SDS | Delivery time | Quantity | Price |
|---|---|---|---|---|---|---|---|
| ABD-1009 | 1 mg | - |
3 - 8 business days* |
277.00€
|
If you have any questions, please use our Contact Form.
You can also order by e-mail: info@biomol.com
Larger quantity required? Request bulk
You can also order by e-mail: info@biomol.com
Larger quantity required? Request bulk
Molecular weight: 1045.11. Excitation (nm): 588. Emission (nm): 604. Extinction coefficient (cm-1... more
Product information "iFluor(TM) 594 TCO"
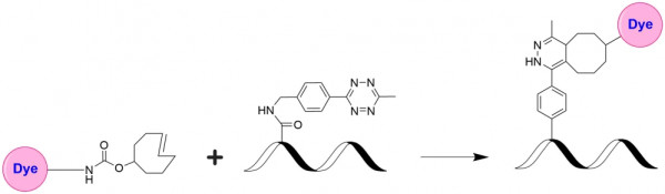
Molecular weight: 1045.11. Excitation (nm): 588. Emission (nm): 604. Extinction coefficient (cm-1 M-1): 180000. Quantum yield: 0.53. Correction factor (280 nm): 0.04. The tetrazine-trans-cyclooctene (TCO) ligation constitutes a non-toxic biomolecule labeling method of unparalleled speed. A tetrazine-functionalized molecule reacts with a TCO-functionalized molecule, forming a stable conjugate via a dihydropyrazine moiety. This has gained popularity due to its extremely fast kinetics. AAT Bioquest offers a group of tetrazine- and TCO-containing dyes for exploring various biological systems that can use this powerful click reaction. iFluor(TM) 594-TCO can be readily used to label tetrazine-modified biological molecules for fluorescence imaging and other fluorescence-based biological applications. The conjugates prepared with iFluor(TM) 594 dye have spectral properties almost identical to the popular Cy3.5 and Alexa Fluor(R) 594. In the most cases, the antibody conjugates prepared with iFluor(TM) 594 tend to have lower background than the spectrally similar dye conjugates (sch as Cy3.5 and Alexa Fluor(R) 594, Alexa Fluor(R) is the trademark of Invitrogen).
| Supplier: | AAT Bioquest |
| Supplier-Nr: | 1009 |
Properties
| Application: | Conjugation, Tetrazine-trans-cyclooctene (TCO) ligation |
| MW: | 1045.11 D |
Database Information
Handling & Safety
| Storage: | -20°C (protect from light) |
| Shipping: | +20°C (International: +20°C) |
Caution
Our products are for laboratory research use only: Not for administration to humans!
Our products are for laboratory research use only: Not for administration to humans!
Information about the product reference will follow.
more
You will get a certificate here
Viewed