Cookie preferences
This website uses cookies, which are necessary for the technical operation of the website and are always set. Other cookies, which increase the comfort when using this website, are used for direct advertising or to facilitate interaction with other websites and social networks, are only set with your consent.
Configuration
Technically required
These cookies are necessary for the basic functions of the shop.
"Allow all cookies" cookie
"Decline all cookies" cookie
CSRF token
Cookie preferences
Currency change
Customer-specific caching
FACT-Finder tracking
Individual prices
Selected shop
Session
Comfort functions
These cookies are used to make the shopping experience even more appealing, for example for the recognition of the visitor.
Note
Show the facebook fanpage in the right blod sidebar
Statistics & Tracking
Affiliate program
Conversion and usertracking via Google Tag Manager
Track device being used
| Item number | Size | Datasheet | Manual | SDS | Delivery time | Quantity | Price |
|---|---|---|---|---|---|---|---|
| ABD-20509 | 1 mg | - |
3 - 8 business days* |
434.00€
|
If you have any questions, please use our Contact Form.
You can also order by e-mail: info@biomol.com
Larger quantity required? Request bulk
You can also order by e-mail: info@biomol.com
Larger quantity required? Request bulk
Calcium measurement is critical for numerous biological investigations. Fluorescent probes that... more
Product information "Cal-590(TM)-Dextran Conjugate *MW 10,000*"
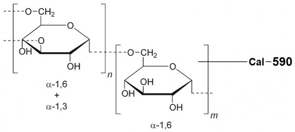
Calcium measurement is critical for numerous biological investigations. Fluorescent probes that show spectral responses upon binding calcium have enabled researchers to investigate changes in intracellular free calcium concentrations by using fluorescence microscopy, flow cytometry, fluorescence spectroscopy and fluorescence microplate readers. Cells may be physically loaded with the cell-impermeant salt forms of these dextran-conjugated calcium indicators using patch pipette or microinjection. The fluorescence signal from these cells is measured using fluorescence microscopy. The dextran forms of our calcium indicators show a dramatic reduction in both leakage and compartmentalization compared to the AM ester forms. Among the fluorescent calcium indicator dextran conjugates, Cal-590 dextran conjugates might be a better choice than other red fluorescent dextrtan conjugates due to its higher fluorescence quantum yield and larger fluorescence enhancement by calcium.
| Supplier: | AAT Bioquest |
| Supplier-Nr: | 20509 |
Properties
| Application: | IF, FC |
Database Information
Handling & Safety
| Storage: | -20°C (protect from light) |
| Shipping: | +20°C (International: °C) |
| GHS Hazard Pictograms: |
|
| H Phrases: | H302, H312, H332 |
Caution
Our products are for laboratory research use only: Not for administration to humans!
Our products are for laboratory research use only: Not for administration to humans!
Information about the product reference will follow.
more
You will get a certificate here
Viewed