Cookie preferences
This website uses cookies, which are necessary for the technical operation of the website and are always set. Other cookies, which increase the comfort when using this website, are used for direct advertising or to facilitate interaction with other websites and social networks, are only set with your consent.
Configuration
Technically required
These cookies are necessary for the basic functions of the shop.
"Allow all cookies" cookie
"Decline all cookies" cookie
CSRF token
Cookie preferences
Currency change
Customer-specific caching
FACT-Finder tracking
Individual prices
Selected shop
Session
Comfort functions
These cookies are used to make the shopping experience even more appealing, for example for the recognition of the visitor.
Note
Show the facebook fanpage in the right blod sidebar
Statistics & Tracking
Affiliate program
Conversion and usertracking via Google Tag Manager
Track device being used
If you have any questions, please use our Contact Form.
You can also order by e-mail: info@biomol.com
Larger quantity required? Request bulk
You can also order by e-mail: info@biomol.com
Larger quantity required? Request bulk
Phosphoinositide 3-kinase (PI3K) and mammalian target of rapamycin (mTOR) act synergistically in... more
Product information "Wortmannin-Rapamycin Conjugate"
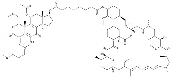
Phosphoinositide 3-kinase (PI3K) and mammalian target of rapamycin (mTOR) act synergistically in promoting cancer. Wortmannin is a potent inhibitor of PI3K enzymes, while rapamycin blocks mTOR Complex 1 TORC1. Wortmannin-rapamycin conjugate consists of analogs of 17-hydroxy wortmannin and rapamycin conjugated via a prodrug linker. Hydrolysis of the prodrug linker in vivo releases the inhibitors. The wortmannin-rapamycin conjugate inhibits the growth of HT-29 colon tumors and A498 renal tumors in mice better than rapamycin alone. Also, the conjugate, when given in combination with the VEGF-blocker bevacizumab, produces substantial regression of larger A498 tumors. Finally, the wortmannin-rapamycin conjugate is tolerated better than an equivalent mixture of the inhibitors.Formal Name: 1-(4S,4aR,5R,6aS,7S,9aR,E)-1-(((3-(dimethylamino)propyl)(methyl)amino)methylene)-7,11-dihydroxy-4-(methoxymethyl)-4a,6a-dimethyl-2,10-dioxo-1,2,4,4a,5,6,6a,7,8,9,9a,10-dodecahydroindeno[4,5-h]isochromen-5-yl acetate 8-(7E,15E,17E,19E)-9,10,12,13,14,21,22,23,24,25,26,27,32,33,34aS-hexadecahydro-9R,27-dihydroxy-3S-[(1R)-2-[(1S,3R,4R)-4-hydroxy-3-methoxycyclohexyl]-1-methylethyl]-10R,21S-dimethoxy-6R,8,12R,14S,20,26R-hexamethyl-23S,27R-epoxy-3H-pyrido[2,1-c][1,4]oxaazacyclohentriacontine-1,5,11,28,29(4H,6H,31H)-pentone octanedioate. CAS Number: 1067892-47-0. Molecular Formula: C88H131N3O23. Formula Weight: 1598.9. Purity: >98%. Formulation: (Request formulation change), A crystalline solid. Solubility: DMF: 30 mg/ml, DMSO: 20 mg/ml, Ethanol: 5 mg/ml. lambdamax: 256, 267, 277, 289, 318, 411 nm. SMILES: O=C(O[C@H]1[C@H](OC)C[C@H](C[C@@H](C)[C@@](CC([C@H](C)/C=C(C)/[C@@H](O)[C@@H](OC)C([C@H](C)C[C@H](C)/C=C/C=C/C=C(C)/[C@@H](OC)C[C@](O2)([H])CC[C@@H](C)[C@]2(O)C3=O)=O)=O)([H])OC([C@]4([H])CCCCN4C3=O)=O)CC1)CCCCCCC(O[C@H]5CC[C@]6([H])[C@]5(C)C[C@@H](OC(C)=O)C([C@]([C@@H](COC)OC(/C7=C/N(C)CCCN(C)C)=O)(C)C7=C8O)=C6C8=O)=O. InChi Code: InChI=1S/C88H131N3O23/c1-51-28-21-20-22-29-52(2)66(106-15)46-60-35-33-57(7)88(104,114-60)82(100)83(101)91-41-26-25-30-63(91)85(103)111-67(47-64(93)53(3)43-56(6)78(97)81(108-17)77(96)55(5)42-51)54(4)44-59-34-37-65(68(45-59)107-16)110-72(94)31-23-18-19-24-32-73(95)112-70-38-36-62-74-76(69(109-58(8)92)48-86(62,70)9)87(10)71(50-105-14)113-84(102)61(75(87)80(99)79(74)98)49-90(13)40-27-39-89(11)12/h20-22,28-29,43,49,51,53-55,57,59-60,62-63,65-71,78,81,97,99,104H,18-19,23-27,30-42,44-48,50H2,1-17H3/b22-20+,28-21+,52-29+,56-43+,61-49+/t51-,53-,54-,55-,57-,59+,60+,62+,63+,65-,66+,67+,68-,69-,70+,71-,78-,81+,86+,87+,88-/m1/s1. InChi Key: GVMCLKAVNVFURS-UXLLMVCWSA-N.
| Keywords: | 1-(4S,4aR,5R,6aS,7S,9aR,E)-1-(((3-(dimethylamino)propyl)(methyl)amino)methylene)-7,11-dihydroxy-4-(methoxymethyl)-4a,6a-dimethyl-2,10-dioxo-1,2,4,4a,5,6,6a,7,8,9,9a,10-dodecahydroindeno[4,5-h]isochromen-5-yl acetate 8-(7E,15E,17E,19E)-9,10,12,13,14,21,22, |
| Supplier: | Cayman Chemical |
| Supplier-Nr: | 13671 |
Properties
| Application: | PI3K/TORC1 inhibitors |
| MW: | 1598.9 D |
| Formula: | C88H131N3O23 |
| Purity: | >98% |
| Format: | Crystalline Solid |
Database Information
| CAS : | 1067892-47-0| Matching products |
| KEGG ID : | K07203 | Matching products |
Handling & Safety
| Storage: | -20°C |
| Shipping: | +20°C (International: -20°C) |
Caution
Our products are for laboratory research use only: Not for administration to humans!
Our products are for laboratory research use only: Not for administration to humans!
Information about the product reference will follow.
more
You will get a certificate here
Viewed