Tolazamide

Tolazamide
Item number Size Datasheet Manual SDS Delivery time Quantity Price
Cay23545-5 5 mg -

6 - 10 business days*

102.00€
Cay23545-10 10 mg -

6 - 10 business days*

181.00€
Cay23545-25 25 mg -

6 - 10 business days*

398.00€
Cay23545-50 50 mg -

6 - 10 business days*

696.00€
 
Tolazamide is a first generation sulfonylurea that inhibits sulfonylurea receptor 1 (SUR1) linked... more
Product information "Tolazamide"
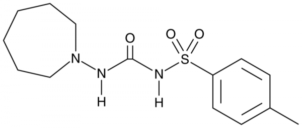
Tolazamide is a first generation sulfonylurea that inhibits sulfonylurea receptor 1 (SUR1) linked to the inwardly rectifying potassium channel (KIR6.2, IC50 = 4.2 µM in HEK293 cells transfected with the human receptor). It has no effect on glucose uptake in L6 rat skeletal muscle cells when used at a concentration of 0.6 mg/mL but enhances glucose uptake two-fold when used in combination with insulin. In vivo, tolazamide (128 mg/kg) reduces glomerulosclerosis and albumin excretion in a rat model of insulin-dependent diabetes induced by streptozotocin (Cay-13104). Formulations containing tolazamide have been used in the treatment of type 2 diabetes.Formal Name: N-[[(hexahydro-1H-azepin-1-yl)amino]carbonyl]-4-methyl-benzenesulfonamide. CAS Number: 1156-19-0. Synonyms: NSC 70762. Molecular Formula: C14H21N3O3S. Formula Weight: 311.4. Purity: >98%. Formulation: (Request formulation change), A crystalline solid. Solubility: DMF: 30 mg/ml, DMSO: 30 mg/ml, Ethanol: 0.25 mg/ml. lambdamax: 229 nm. SMILES: CC1=CC=C(S(NC(NN2CCCCCC2)=O)(=O)=O)C=C1. InChi Code: InChI=1S/C14H21N3O3S/c1-12-6-8-13(9-7-12)21(19,20)16-14(18)15-17-10-4-2-3-5-11-17/h6-9H,2-5,10-11H2,1H3,(H2,15,16,18). InChi Key: OUDSBRTVNLOZBN-UHFFFAOYSA-N.
Keywords: NSC 70762, N-[[(hexahydro-1H-azepin-1-yl)amino]carbonyl]-4-methyl-benzenesulfonamide
Supplier: Cayman Chemical
Supplier-Nr: 23545

Properties

Application: SUR1 inhibitor
MW: 311.4 D
Formula: C14H21N3O3S
Purity: >98%
Format: Crystalline Solid

Database Information

CAS : 1156-19-0| Matching products
KEGG ID : K05032 | Matching products

Handling & Safety

Storage: -20°C
Shipping: +20°C (International: -20°C)
Signal Word: Warning
GHS Hazard Pictograms:
H Phrases: H302
P Phrases: P264, P270, P330, P301+P310, P501
Caution
Our products are for laboratory research use only: Not for administration to humans!
You will get a certificate here
or to request a certificate of analysis.
Read, write and discuss reviews... more
Customer review for "Tolazamide"
Write a review
or to review a product.
Viewed