This website uses cookies, which are necessary for the technical operation of the website and are always set. Other cookies, which increase the comfort when using this website, are used for direct advertising or to facilitate interaction with other websites and social networks, are only set with your consent.
Configuration
Technically required
These cookies are necessary for the basic functions of the shop.
"Allow all cookies" cookie
"Decline all cookies" cookie
CSRF token
Cookie preferences
Currency change
Customer-specific caching
FACT-Finder tracking
Individual prices
Selected shop
Session
Comfort functions
These cookies are used to make the shopping experience even more appealing, for example for the recognition of the visitor.
Note
Show the facebook fanpage in the right blod sidebar
Statistics & Tracking
Affiliate program
Conversion and usertracking via Google Tag Manager
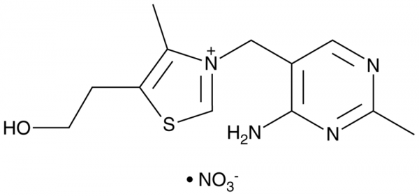
Thiamine is a water-soluble vitamin with antioxidant, neuroprotective, and anxiolytic properties. It inhibits lipid peroxidation in rat liver microsomes and free radical oxidation of oleic acid (Cay-90260) in vitro when used at concentrations ranging from 1 to 100 µM. In vivo, thiamine (100 mg/kg) reduces hepatic levels of aspartate aminotransferase (AST) and alanine aminotransferase (ALT), lipid peroxidation, and protein damage in a rat model of acute ethanol intoxication. It reverses predator stress-induced suppression of hippocampal neurogenesis and decreases the latency of step-down from a platform, indicating anxiolytic-like activity in mice. Thiamine (8.5 mg/100 g food) reduces neurodegeneration and increases survival in Slc19a3-/- mice, a model of thiamine metabolism dysfunction syndrome-2 (THMD-2).Formal Name: 3-[(4-amino-2-methyl-5-pyrimidinyl)methyl]-5-(2-hydroxyethyl)-4-methyl-thiazolium, mononitrate. CAS Number: 532-43-4. Synonyms: Aneurine, Vitamin B1. Molecular Formula: C12H17N4OS . NO3. Formula Weight: 327.4. Purity: >98%. Formulation: (Request formulation change), A crystalline solid. Solubility: PBS (pH 7.2): 5 mg/ml. lambdamax: 234, 267, 332 nm. SMILES: CC1=NC(N)=C(C[N+]2=CSC(CCO)=C2C)C=N1.[O-][N+]([O-])=O. InChi Code: InChI=1S/C12H17N4OS.NO3/c1-8-11(3-4-17)18-7-16(8)6-10-5-14-9(2)15-12(10)13,2-1(3)4/h5,7,17H,3-4,6H2,1-2H3,(H2,13,14,15),/q+1,-1. InChi Key: UIERGBJEBXXIGO-UHFFFAOYSA-N.
This website uses cookies, which are necessary for the technical operation of the website and are always set. Other cookies, which increase the usability of this website, serve for direct advertising or simplify interaction with other websites and social networks, will only be used with your consent.
More information