Sodium Stibogluconate

Sodium Stibogluconate
Item number Size Datasheet Manual SDS Delivery time Quantity Price
Cay16038-250 250 mg -

6 - 10 business days*

73.00€
Cay16038-500 500 mg -

6 - 10 business days*

130.00€
Cay16038-1 1 g -

6 - 10 business days*

228.00€
 
Sodium stibogluconate is a pentavalent antimony derivative that is highly active against... more
Product information "Sodium Stibogluconate"
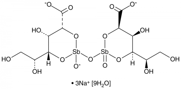
Sodium stibogluconate is a pentavalent antimony derivative that is highly active against Leishmania amastigotes in macrophages. Sodium stibogluconate has diverse effects on both this intracellular parasite and its host cell.Formal Name: 2,4:2',4'-O-(oxydistibylidyne)bis-D-gluconic acid, trisodium salt, nonahydrate. CAS Number: 16037-91-5. Synonyms: Antimony Sodium Gluconate. Molecular Formula: C12H17O17Sb2 . 3Na [9H2O]. Formula Weight: 907.9. Purity: >95%. Formulation: (Request formulation change), A crystalline solid. lambdamax: 266, 321 nm. SMILES: OC[C@@H](O)[C@]1([H])[C@H](O)[C@H](C([O-])=O)O[Sb](O[Sb]2(O[C@@]([C@H](O)CO)([H])[C@H](O)[C@H](C([O-])=O)O2)=O)([O-])O1.[Na+].[Na+].[Na+].O.O.O.O.O.O.O.O.O. InChi Code: InChI=1S/2C6H10O7.3Na.9H2O.3O.2Sb/c2*7-1-2(8)3(9)4(10)5(11)6(12)13,,,,,,,,,,,,,,,,,/h2*2-5,7-8,10H,1H2,(H,12,13),,,,9*1H2,,,,,/q2*-2,3*+1,,,,,,,,,,,,-1,2*+2/p-2/t2*2-,3-,4+,5-,,,,,,,,,,,,,,,,,/m11................./s1. InChi Key: XGOCPLVXEKPVLV-UZVLBLASSA-L.
Keywords: Antimony Sodium Gluconate, 2,4:2',4'-O-(oxydistibylidyne)bis-D-gluconic acid, trisodium salt, nonahydrate
Supplier: Cayman Chemical
Supplier-Nr: 16038

Properties

Application: Antiprotozoal, leishmanicidal, pentavalent antimonial, protein tyrosine phosphatase inhibitor
MW: 907.9 D
Formula: C12H17O17Sb2 . 3Na [9H2O]
Purity: >95%
Format: Solid

Database Information

CAS : 16037-91-5| Matching products
KEGG ID : K05697 | Matching products

Handling & Safety

Storage: -20°C
Shipping: +20°C (International: -20°C)
Signal Word: Warning
GHS Hazard Pictograms:
H Phrases: H302, H332, H411
P Phrases: P261, P264, P270, P271, P273, P312, P330, P391, P301+P310, P304+P340, P501
Caution
Our products are for laboratory research use only: Not for administration to humans!
You will get a certificate here
or to request a certificate of analysis.
Read, write and discuss reviews... more
Customer review for "Sodium Stibogluconate"
Write a review
or to review a product.
Viewed