This website uses cookies, which are necessary for the technical operation of the website and are always set. Other cookies, which increase the comfort when using this website, are used for direct advertising or to facilitate interaction with other websites and social networks, are only set with your consent.
Configuration
Technically required
These cookies are necessary for the basic functions of the shop.
"Allow all cookies" cookie
"Decline all cookies" cookie
CSRF token
Cookie preferences
Currency change
Customer-specific caching
FACT-Finder tracking
Individual prices
Selected shop
Session
Comfort functions
These cookies are used to make the shopping experience even more appealing, for example for the recognition of the visitor.
Note
Show the facebook fanpage in the right blod sidebar
Statistics & Tracking
Affiliate program
Conversion and usertracking via Google Tag Manager
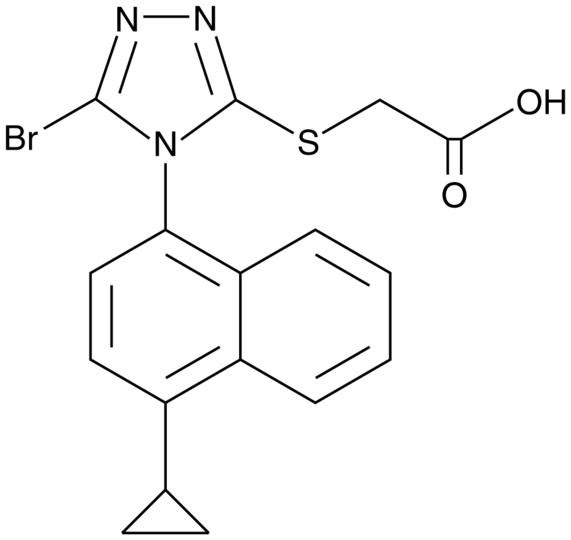
Lesinurad is an inhibitor of urate anion transporter 1 (URAT1, IC50s = 3.5 and 81 µM for human and rat transporters, respectively), a transporter that prevents renal urate resorption. It decreases uptake of urate by MDCK cells transfected with human URAT1. Lesinurad (80 mg/kg) also decreases serum levels of uric acid and urea nitrogen in a rat model of gout. Formulations containing lesinurad have been used in combination with other compounds in the treatment of gout.Formal Name: 2-[[5-bromo-4-(4-cyclopropyl-1-naphthalenyl)-4H-1,2,4-triazol-3-yl]thio]-acetic acid. CAS Number: 878672-00-5. Molecular Formula: C17H14BrN3O2S. Formula Weight: 404.3. Purity: >98%. Formulation: (Request formulation change), A solid. Solubility: DMSO: Slightly Soluble, Methanol: Slightly Soluble. SMILES: BrC1=NN=C(SCC(O)=O)N1C2=C3C(C=CC=C3)=C(C4CC4)C=C2. InChi Code: InChI=1S/C17H14BrN3O2S/c18-16-19-20-17(24-9-15(22)23)21(16)14-8-7-11(10-5-6-10)12-3-1-2-4-13(12)14/h1-4,7-8,10H,5-6,9H2,(H,22,23). InChi Key: FGQFOYHRJSUHMR-UHFFFAOYSA-N.
This website uses cookies, which are necessary for the technical operation of the website and are always set. Other cookies, which increase the usability of this website, serve for direct advertising or simplify interaction with other websites and social networks, will only be used with your consent.
More information