Cookie preferences
This website uses cookies, which are necessary for the technical operation of the website and are always set. Other cookies, which increase the comfort when using this website, are used for direct advertising or to facilitate interaction with other websites and social networks, are only set with your consent.
Configuration
Technically required
These cookies are necessary for the basic functions of the shop.
"Allow all cookies" cookie
"Decline all cookies" cookie
CSRF token
Cookie preferences
Currency change
Customer-specific caching
FACT-Finder tracking
Individual prices
Selected shop
Session
Comfort functions
These cookies are used to make the shopping experience even more appealing, for example for the recognition of the visitor.
Note
Show the facebook fanpage in the right blod sidebar
Statistics & Tracking
Affiliate program
Conversion and usertracking via Google Tag Manager
Track device being used
| Item number | Size | Datasheet | Manual | SDS | Delivery time | Quantity | Price |
|---|---|---|---|---|---|---|---|
| Cay14079-250 | 250 µg | - |
6 - 10 business days* |
207.00€
|
|||
| Cay14079-1 | 1 mg | - |
6 - 10 business days* |
619.00€
|
If you have any questions, please use our Contact Form.
You can also order by e-mail: info@biomol.com
Larger quantity required? Request bulk
You can also order by e-mail: info@biomol.com
Larger quantity required? Request bulk
Glyceraldehyde 3-phosphate dehydrogenase (GAPDH), a key enzyme in carbohydrate metabolism,... more
Product information "Heptelidic Acid"
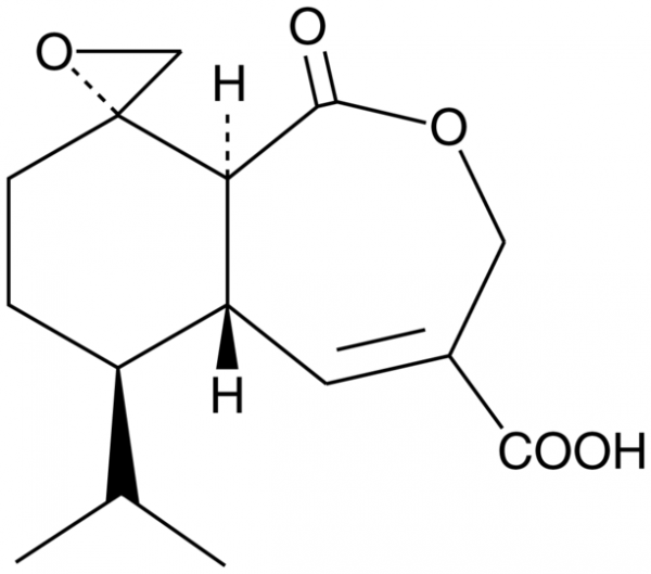
Glyceraldehyde 3-phosphate dehydrogenase (GAPDH), a key enzyme in carbohydrate metabolism, reversibly catalyzes the conversion of GAP to 1,3-bisphosphoglycerate and NAD+. Heptelidic acid is a sesquiterpene lactone produced by the fungus T. koningii that was shown to have antibiotic activity against anaerobic bacteria such as Bacteroides. It acts as an irreversible inhibitor of GAPDH that binds to the cysteine-149 residue at the active site of the enzyme (Ki = 1.6 µM). It can selectively induce apoptosis in high-glycolytic cancer cells by inhibiting the generation of ATP in the glycolytic pathway. Heptelidic acid is also a selective and competitive inhibitor of mammalian DNA polymerases beta and lambda as well as terminal deoxynucleotidyl transferase in family X of DNA polymerases (Kis range from 5.2-9.5 µM).Formal Name: (2'S,5aS,6R,9aS)-1,5a,6,7,8,9a-hexahydro-6-(1-methylethyl)-1-oxo-spiro[2-benzoxepin-9(3H),2'-oxirane]-4-carboxylic acid. CAS Number: 57710-57-3. Synonyms: Avocettin, BRN 5091359, FO-4443, Koningic Acid. Molecular Formula: C15H20O5. Formula Weight: 280.3. Purity: >95%. Formulation: (Request formulation change), A solid. Solubility: DMF: 30 mg/ml, DMSO: 30 mg/ml, Ethanol: 30 mg/ml. lambdamax: 217 nm. SMILES: CC(C)[C@H]1CC[C@@]2(CO2)[C@]3([H])[C@]1([H])C=C(C(O)=O)COC3=O. InChi Code: InChI=1S/C15H20O5/c1-8(2)10-3-4-15(7-20-15)12-11(10)5-9(13(16)17)6-19-14(12)18/h5,8,10-12H,3-4,6-7H2,1-2H3,(H,16,17)/t10-,11-,12-,15-/m1/s1. InChi Key: JESMSCGUTIEROV-RTWAVKEYSA-N.
| Keywords: | Avocettin, BRN 5091359, FO-4443, Koningic Acid, (2'S,5aS,6R,9aS)-1,5a,6,7,8,9a-hexahydro-6-(1-methylethyl)-1-oxo-spiro[2-benzoxepin-9(3H),2'-oxirane]-4-carboxylic acid |
| Supplier: | Cayman Chemical |
| Supplier-Nr: | 14079 |
Properties
| Application: | Irreversible GAPDH inhibitor |
| MW: | 280.3 D |
| Formula: | C15H20O5 |
| Purity: | >95% |
| Format: | Solid |
Database Information
| CAS : | 57710-57-3| Matching products |
| KEGG ID : | K00134 | Matching products |
Handling & Safety
| Storage: | -20°C |
| Shipping: | -20°C (International: -20°C) |
| Signal Word: | Warning |
| GHS Hazard Pictograms: |
|
| H Phrases: | H302, H312, H332 |
| P Phrases: | P261, P264, P270, P271, P280, P312, P321, P330, P301+P310, P302+P352, P304+P340, P361+P364, P501 |
Caution
Our products are for laboratory research use only: Not for administration to humans!
Our products are for laboratory research use only: Not for administration to humans!
Information about the product reference will follow.
more
You will get a certificate here
Viewed