Cookie preferences
This website uses cookies, which are necessary for the technical operation of the website and are always set. Other cookies, which increase the comfort when using this website, are used for direct advertising or to facilitate interaction with other websites and social networks, are only set with your consent.
Configuration
Technically required
These cookies are necessary for the basic functions of the shop.
"Allow all cookies" cookie
"Decline all cookies" cookie
CSRF token
Cookie preferences
Currency change
Customer-specific caching
FACT-Finder tracking
Individual prices
Selected shop
Session
Comfort functions
These cookies are used to make the shopping experience even more appealing, for example for the recognition of the visitor.
Note
Show the facebook fanpage in the right blod sidebar
Statistics & Tracking
Affiliate program
Conversion and usertracking via Google Tag Manager
Track device being used
| Item number | Size | Datasheet | Manual | SDS | Delivery time | Quantity | Price |
|---|---|---|---|---|---|---|---|
| Cay20416-50 | 50 µg | - |
6 - 10 business days* |
95.00€
|
If you have any questions, please use our Contact Form.
You can also order by e-mail: info@biomol.com
Larger quantity required? Request bulk
You can also order by e-mail: info@biomol.com
Larger quantity required? Request bulk
Fura-FF AM is a cell-permeable acetoxymethyl ester of the fluorescence calcium indicator fura-FF... more
Product information "Fura-FF AM"
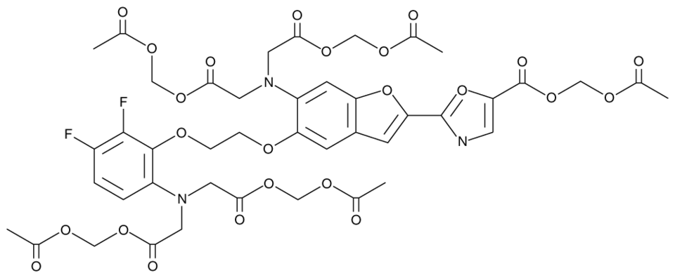
Fura-FF AM is a cell-permeable acetoxymethyl ester of the fluorescence calcium indicator fura-FF (potassium salt) (Cay-20415). As fura-FF AM enters cells, it is hydrolyzed by intracellular esterases to produce fura-FF. Fura-FF is a difluorinated derivative of the calcium indicator fura-2 (Cay-19531, Cay-20414). Unlike, fura-2, fura-FF has negligible magnesium sensitivity, thus reducing interference from this cation. Fura-FF also has a higher calcium dissociation constant than fura-2 (Kd(calcium) = 6 and 0.14 µM, respectively). However, the spectral properties of fura-FF and fura-2 are similar with fura-FF displaying excitation/emission spectra of 365/514 nm in the absence of calcium, with a shift to 339/507 nm in the presence of a high calcium concentration. Low affinity calcium dyes, including fura-FF, are preferred for studying compartments with high concentrations of calcium, such as mitochondria, or in cell systems that have relatively low calcium buffering capacities, such as neuronal dendrites and spines.Formal Name: 2-[6-[bis[2-[(acetyloxy)methoxy]-2-oxoethyl]amino]-5-[2-[6-[bis[2-[(acetyloxy)methoxy]-2-oxoethyl]amino]-2,3-difluorophenoxy]ethoxy]-2-benzofuranyl]-5-oxazolecarboxylic acid(acetyloxy)methyl ester. CAS Number: 348079-12-9. Synonyms: Fura-FF Acetoxymethyl ester. Molecular Formula: C43H43F2N3O24. Formula Weight: 1023.8. Purity: >90%. Emission: 514 nm (no Ca2+), 507 nm (high [Ca2+]). Excitation: 365 nm (no Ca2+), 339 nm (high [Ca2+]). Formulation: (Request formulation change), A solid. Solubility: DMSO: soluble. SMILES: O=C(OCOC(C)=O)CN(C1=CC2=C(C=C(C3=NC=C(C(OCOC(C)=O)=O)O3)O2)C=C1OCCOC(C(F)=C(F)C=C4)=C4N(CC(OCOC(C)=O)=O)CC(OCOC(C)=O)=O)CC(OCOC(C)=O)=O. InChi Code: InChI=1S/C43H43F2N3O24/c1-23(49)61-18-66-36(54)14-47(15-37(55)67-19-62-24(2)50)30-7-6-29(44)40(45)41(30)60-9-8-59-33-10-28-11-34(42-46-13-35(72-42)43(58)70-22-65-27(5)53)71-32(28)12-31(33)48(16-38(56)68-20-63-25(3)51)17-39(57)69-21-64-26(4)52/h6-7,10. InChi Key: FPUWXSBNYDMTRN-UHFFFAOYSA-N.
| Keywords: | Fura-FF Acetoxymethyl ester, 2-[6-[bis[2-[(acetyloxy)methoxy]-2-oxoethyl]amino]-5-[2-[6-[bis[2-[(acetyloxy)methoxy]-2-oxoethyl]amino]-2,3-difluorophenoxy]ethoxy]-2-benzofuranyl]-5-oxazolecarboxylic acid(acetyloxy)methyl ester |
| Supplier: | Cayman Chemical |
| Supplier-Nr: | 20416 |
Properties
| Application: | Cell-permeant fluorescent calcium indicator acetoxy-methyl ester |
| MW: | 1023.8 D |
| Formula: | C43H43F2N3O24 |
| Purity: | >90% |
| Format: | Solid |
Database Information
| CAS : | 348079-12-9| Matching products |
Handling & Safety
| Storage: | -20°C |
| Shipping: | +20°C (International: -20°C) |
Caution
Our products are for laboratory research use only: Not for administration to humans!
Our products are for laboratory research use only: Not for administration to humans!
Information about the product reference will follow.
more
You will get a certificate here
Viewed