AZD 1480

AZD 1480
Item number Size Datasheet Manual SDS Delivery time Quantity Price
Cay10702-1 1 mg -

6 - 10 business days*

56.00€
Cay10702-5 5 mg -

6 - 10 business days*

173.00€
Cay10702-10 10 mg -

6 - 10 business days*

290.00€
Cay10702-50 50 mg -

6 - 10 business days*

993.00€
 
Janus-associated kinases (JAKs) are cytoplasmic tyrosine kinases that are required for activating... more
Product information "AZD 1480"
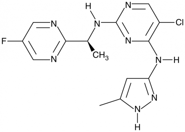
Janus-associated kinases (JAKs) are cytoplasmic tyrosine kinases that are required for activating the signaling of certain cytokines and growth factor receptors. Many myeloproliferative diseases have been linked to a mutation in JAK2 where a switch from valine to phenylalanine occurs at the 617 position (V617F). AZD 1480 is a potent JAK2 inhibitor that blocks signaling (IC50 = 58 nM at 5 mM ATP) and proliferation of JAK2-expressing cell lines (GI50 = 60 nM). It is selective for JAK2 over other JAK family members as well as a panel of related kinases. AZD 1480 also inhibits the growth of cells expressing the V617F mutant of JAK2 (GI50 = 60 nM). It reversibly blocks JAK2-mediated phosphorylation of STAT3 and STAT5. AZD 1480 displays good pharmacokinetics in vivo, inhibits STAT3 and STAT5 activation in vivo, and suppresses tumorigenesis in mouse xenografts harboring constitutive STAT3 activity. In addition to suppressing myeloma cell growth and survival, AZD 1480 reduces angiogenesis and metastasis in vitro and in human xenograft tumor models.Formal Name: 5-chloro-N2-[(1S)-1-(5-fluoro-2-pyrimidinyl)ethyl]-N4-(5-methyl-1H-pyrazol-3-yl)-2,4-pyrimidinediamine. CAS Number: 935666-88-9. Molecular Formula: C14H14ClFN8. Formula Weight: 348.8. Purity: >98%. Formulation: (Request formulation change), A crystalline solid. Solubility: DMF: 30 mg/mL, DMSO: 25 mg/mL, Ethanol: 50 mg/mL, Ethanol:PBS(pH 7.2) (1:1): 0.5 mg/mL. lambdamax: 230, 251, 314 nm. SMILES: ClC1=C(NC2=NNC(C)=C2)N=C(N[C@@H](C)C3=NC=C(F)C=N3)N=C1. InChi Code: InChI=1S/C14H14ClFN8/c1-7-3-11(24-23-7)21-13-10(15)6-19-14(22-13)20-8(2)12-17-4-9(16)5-18-12/h3-6,8H,1-2H3,(H3,19,20,21,22,23,24)/t8-/m0/s1. InChi Key: PDOQBOJDRPLBQU-QMMMGPOBSA-N.
Keywords: 5-chloro-N2-[(1S)-1-(5-fluoro-2-pyrimidinyl)ethyl]-N4-(5-methyl-1H-pyrazol-3-yl)-2,4-pyrimidinediamine
Supplier: Cayman Chemical
Supplier-Nr: 10702

Properties

Application: JAK2 inhibitor
MW: 348.8 D
Formula: C14H14ClFN8
Purity: >98%
Format: Crystalline Solid

Database Information

CAS : 935666-88-9| Matching products
KEGG ID : K04447 | Matching products

Handling & Safety

Storage: -20°C
Shipping: +20°C (International: -20°C)
Signal Word: Danger
GHS Hazard Pictograms:
H Phrases: H301, H361, H372
P Phrases: P201, P202, P260, P264, P270, P280, P314, P321, P330, P301+P310, P308+P313, P405, P501
Caution
Our products are for laboratory research use only: Not for administration to humans!
You will get a certificate here
or to request a certificate of analysis.
Read, write and discuss reviews... more
Customer review for "AZD 1480"
Write a review
or to review a product.
Viewed