This website uses cookies, which are necessary for the technical operation of the website and are always set. Other cookies, which increase the comfort when using this website, are used for direct advertising or to facilitate interaction with other websites and social networks, are only set with your consent.
Configuration
Technically required
These cookies are necessary for the basic functions of the shop.
"Allow all cookies" cookie
"Decline all cookies" cookie
CSRF token
Cookie preferences
Currency change
Customer-specific caching
FACT-Finder tracking
Individual prices
Selected shop
Session
Comfort functions
These cookies are used to make the shopping experience even more appealing, for example for the recognition of the visitor.
Note
Show the facebook fanpage in the right blod sidebar
Statistics & Tracking
Affiliate program
Conversion and usertracking via Google Tag Manager
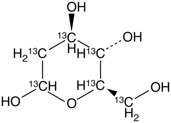
2-deoxy-D-Glucose-13C6 is intended for use as an internal standard for the quantification of 2-deoxy-D-glucose (Cay-14325) by GC- or LC-MS. 2-deoxy-D-Glucose is a glucose antimetabolite and an inhibitor of glycolysis. It inhibits hexokinase, the enzyme that converts glucose to glucose-6-phosphate, as well as phosphoglucose isomerase, the enzyme that converts glucose-6-phosphate to fructose-6-phosphate. 2-deoxy-D-Glucose (16 mM) induces apoptosis in SK-BR-3 cells, as well as inhibits the growth of 143B osteosarcoma cells cultured under hypoxic conditions when used at a concentration of 2 mg/ml. In vivo, 2-deoxy-D-glucose (500 mg/kg) reduces tumor growth in 143B osteosarcoma and MV522 non-small cell lung cancer mouse xenograft models when used alone or in combination with doxorubicin (Cay-15007) or paclitaxel (Cay-10461).Formal Name: (4R,5S,6R)-6-(hydroxymethyl-13C)tetrahydro-2H-pyran-2,4,5-triol-2,3,4,5,6-13C5. Synonyms: 2-DG-13C6. Molecular Formula: [13C]6H8O5. Formula Weight: 170.1. Purity: >95% (mixture of isomers). Formulation: (Request formulation change), A solid. Solubility: DMSO: soluble, Water: soluble. SMILES: O[13CH2][13C@H]1O[13CH]([13CH2][13C@H]([13C@@H]1O)O)O. InChi Code: InChI=1S/C6H12O5/c7-2-4-6(10)3(8)1-5(9)11-4/h3-10H,1-2H2/t3-,4-,5?,6+/m1/s1/i1+1,2+1,3+1,4+1,5+1,6+1. InChi Key: PMMURAAUARKVCB-WDZLTIQUSA-N.
This website uses cookies, which are necessary for the technical operation of the website and are always set. Other cookies, which increase the usability of this website, serve for direct advertising or simplify interaction with other websites and social networks, will only be used with your consent.
More information