This website uses cookies, which are necessary for the technical operation of the website and are always set. Other cookies, which increase the comfort when using this website, are used for direct advertising or to facilitate interaction with other websites and social networks, are only set with your consent.
Configuration
Technically required
These cookies are necessary for the basic functions of the shop.
"Allow all cookies" cookie
"Decline all cookies" cookie
CSRF token
Cookie preferences
Currency change
Customer-specific caching
FACT-Finder tracking
Individual prices
Selected shop
Session
Comfort functions
These cookies are used to make the shopping experience even more appealing, for example for the recognition of the visitor.
Note
Show the facebook fanpage in the right blod sidebar
Statistics & Tracking
Affiliate program
Conversion and usertracking via Google Tag Manager
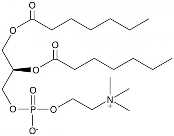
Product information "1,2-Diheptanoyl-sn-glycero-3-PC"
1,2-Diheptanoyl-sn-glycero-3-PC (DHPC-C7) is a synthetic phosphatidylcholine containing the short-chain (7:0) heptanoic acid at the sn-1 and sn-2 positions. It is commonly used in the formation of lipid bilayers and mixed micelles that has a critical micelle concentration (CMC) of 1.6 mM. Short-chain phospholipids, such as DHPC-C7 and 1,2-dihexanoyl-sn-glycero-PC (DHPC-C6, Cay-25585), increase the formation rate of substrate-supported planar phospholipid bilayers on glass and silica. DHPC-C7 inhibits insulin fibril formation in vitro in a concentration-dependent manner and inhibits cytotoxicity induced by insulin fibril formation in PC12 and SH-SY5Y cells when used at concentrations ranging from 0.5 to 4 mM.Formal Name: (7R)-4-hydroxy-N,N,N-trimethyl-10-oxo-7-[(1-oxoheptyl)oxy]-3,5,9-trioxa-4-phosphahexadecan-1-aminium, inner salt, 4-oxide. CAS Number: 39036-04-9. Synonyms: DHPC-C7, di-C7-PC. Molecular Formula: C22H44NO8P. Formula Weight: 481.6. Purity: >95%. Formulation: (Request formulation change), A crystalline solid. Solubility: DMF: > 20 mg/ml, DMSO: > 7 mg/ml, Ethanol: > 30 mg/ml, PBS (pH 7.2): > 250 µg/ml. lambdamax: 210 nm. SMILES: [O-]P(OC[C@H](OC(CCCCCC)=O)COC(CCCCCC)=O)(OCC[N+](C)(C)C)=O. InChi Code: InChI=1S/C22H44NO8P/c1-6-8-10-12-14-21(24)28-18-20(31-22(25)15-13-11-9-7-2)19-30-32(26,27)29-17-16-23(3,4)5/h20H,6-19H2,1-5H3/t20-/m1/s1. InChi Key: RBFSPQDASPEAID-HXUWFJFHSA-N. Side Chain Carbon Sum: 14:0.
This website uses cookies, which are necessary for the technical operation of the website and are always set. Other cookies, which increase the usability of this website, serve for direct advertising or simplify interaction with other websites and social networks, will only be used with your consent.
More information