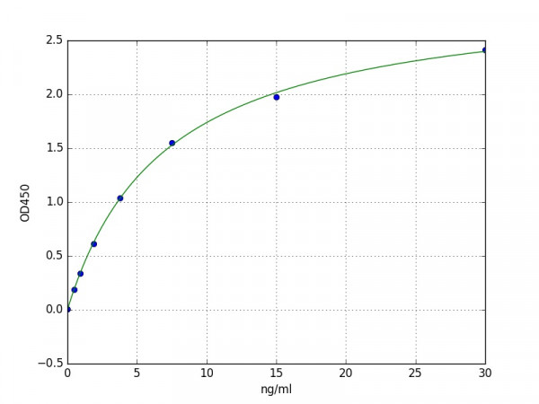
Human Ornithine Carbamoyl Transferase / OCT ELISA Kit

Human Ornithine Carbamoyl Transferase / OCT ELISA Kit
Item number Size Datasheet Manual SDS Delivery time Quantity Price
G-HUFI02680.96 96 assays - -

9 - 20 business days*

698.00€
 
Product information "Human Ornithine Carbamoyl Transferase / OCT ELISA Kit"
Supplier: Assay Genie
Supplier-Nr: HUFI02680

Properties

Application: ELISA
Species reactivity: human
Format: Solid Phase

Handling & Safety

Storage: +4°C
Shipping: +4°C (International: +4°C)
Caution
Our products are for laboratory research use only: Not for administration to humans!
You will get a certificate here
or to request a certificate of analysis.
Read, write and discuss reviews... more
Customer review for "Human Ornithine Carbamoyl Transferase / OCT ELISA Kit"
Write a review
or to review a product.
Viewed