Sodium (Na) Colorimetric Assay Kit

Item number Size Datasheet Manual SDS Delivery time Quantity Price
E-BC-K207-M.48 48 wells -

7 - 16 business days*

101.00€
E-BC-K207-M.96 96 tests -

7 - 16 business days*

152.00€
 
Detection instrument: Microplate reader. Detection principle: beta-galactosidase activated by... more
Product information "Sodium (Na) Colorimetric Assay Kit"
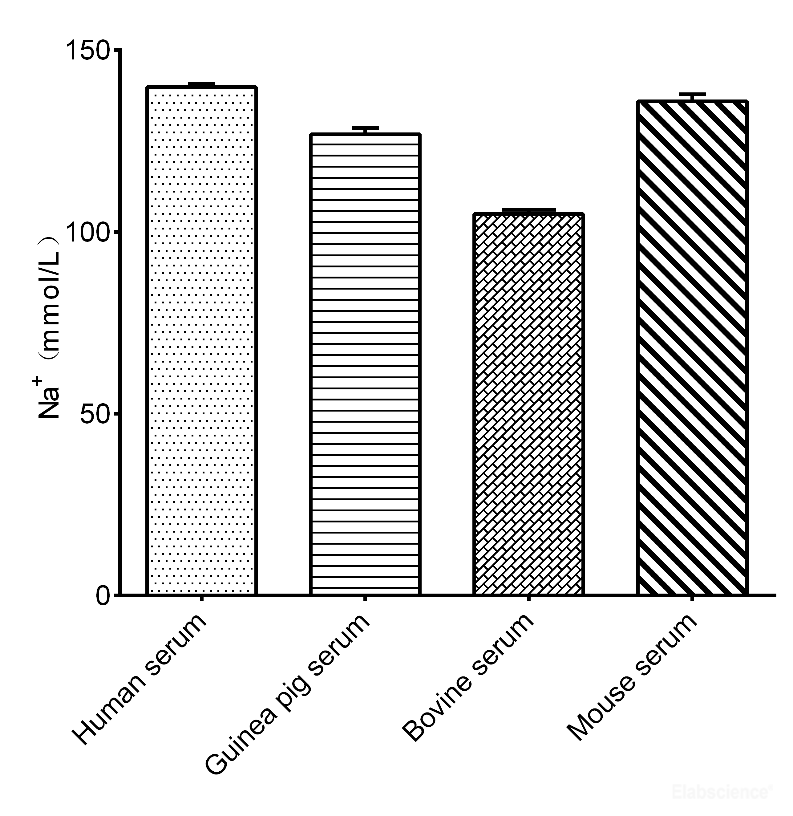
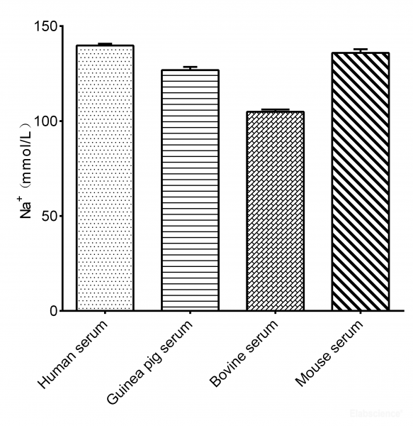
Detection instrument: Microplate reader. Detection principle: beta-galactosidase activated by sodium ions can catalyze o-nitrophenol to produce glycoside and o-nitrophenol. The increase of absorbance is determined at 405 nm, and the content of sodium ion is calculated indirectly. Sample type: serum, plasma. Research area: Inorganic ions. Assay time: 15 min. Sensitivity: 0.02 mmol/L. Detection range: 0.02 - 20 mmol/L. Recovery rate: 98. Inter CV: 8.4. Intra CV: 2.2
Supplier: Elabscience
Supplier-Nr: E-BC-K207-M

Properties

Database Information

Handling & Safety

Storage: +4°C
Shipping: +4°C (International: +4°C)
Caution
Our products are for laboratory research use only: Not for administration to humans!
You will get a certificate here
or to request a certificate of analysis.
Read, write and discuss reviews... more
Customer review for "Sodium (Na) Colorimetric Assay Kit"
Write a review
or to review a product.
Viewed