Cookie-Einstellungen
Diese Website benutzt Cookies, die für den technischen Betrieb der Website erforderlich sind und stets gesetzt werden. Andere Cookies, die den Komfort bei Benutzung dieser Website erhöhen, der Direktwerbung dienen oder die Interaktion mit anderen Websites und sozialen Netzwerken vereinfachen sollen, werden nur mit Ihrer Zustimmung gesetzt.
Konfiguration
Technisch erforderlich
Diese Cookies sind für die Grundfunktionen des Shops notwendig.
"Alle Cookies ablehnen" Cookie
"Alle Cookies annehmen" Cookie
Ausgewählter Shop
CSRF-Token
Cookie-Einstellungen
FACT-Finder Tracking
Individuelle Preise
Kundenspezifisches Caching
Session
Währungswechsel
Komfortfunktionen
Diese Cookies werden genutzt um das Einkaufserlebnis noch ansprechender zu gestalten, beispielsweise für die Wiedererkennung des Besuchers.
Facebook-Seite in der rechten Blog - Sidebar anzeigen
Merkzettel
Statistik & Tracking
Endgeräteerkennung
Kauf- und Surfverhalten mit Google Tag Manager
Partnerprogramm
| Artikelnummer | Größe | Datenblatt | Manual | SDB | Lieferzeit | Menge | Preis |
|---|---|---|---|---|---|---|---|
| Cay24629-100 | 100 µg | - |
6 - 10 Werktage* |
1.135,00 €
|
Bei Fragen nutzen Sie gerne unser Kontaktformular.
Bestellen Sie auch per E-Mail: info@biomol.com
Größere Menge gewünscht? Bulk-Anfrage
Bestellen Sie auch per E-Mail: info@biomol.com
Größere Menge gewünscht? Bulk-Anfrage
Asialo ganglioside GM2 (asialo- GM2) is a glycosphingolipid containing three monosaccharide... mehr
Produktinformationen "Asialo Ganglioside GM2"
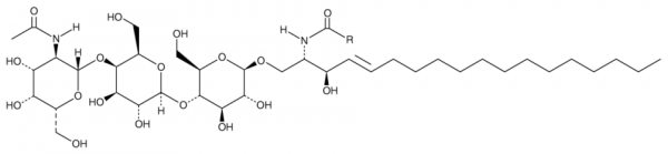
Asialo ganglioside GM2 (asialo- GM2) is a glycosphingolipid containing three monosaccharide residues and a fatty acid of variable chain length but lacking the sialic acid residue present on ganglioside M2. Asialo-GM2 levels are low-to-undetectable in normal human brain, but it accumulates in the brain of patients with Tay-Sachs and Sandhoff disease, which are neurodegenerative disorders characterized by deficiency of lysosomal beta-hexosaminidase A and B, respectively. It also binds to various bacteria, including Pseudomonas isolates derived from cystic fibrosis patients. This product contains asialo ganglioside GM2 molecular species with variable fatty acyl chain lengths. As this product is derived from a natural source, there may be variations in the sphingoid. [Matreya, LLC. Catalog No. 1512]Formal Name: 1-O-[O-2-(acetylamino)-2-deoxy-beta-D-galactopyranosyl-(1->4)-O-beta-D-galactopyranosyl-(1->4)-beta-D-glucopyranosyl]-ceramide. CAS Number: 35960-33-9. Synonyms: Asialo-GM2, Asialoganglioside GM2, Gangliotriaosylceramide. Molecular Formula: C56H104N2O18 (for stearoyl). Formula Weight: 1093.4. Purity: >98%. Formulation: (Request formulation change), A solid. Solubility: Chloroform:Methanol:Water (2:1:0.1): Soluble. SMILES: [R]C(N[C@H]([C@H](O)/C=C/CCCCCCCCCCCCC)CO[C@H]1[C@H](O)[C@@H](O)[C@H](O[C@]2([H])O[C@H](CO)[C@H](O[C@@]3([H])[C@H](NC(C)=O)[C@@H](O)[C@@H](O)[C@@H](CO)O3)[C@H](O)[C@H]2O)[C@@H](CO)O1)=O.
| Schlagworte: | Asialo-GM2, Asialoganglioside GM2, Gangliotriaosylceramide, 1-O-[O-2-(acetylamino)-2-deoxy-beta-D-galactopyranosyl-(1->4)-O-beta-D-galactopyranosyl-(1->4)-beta-D-glucopyranosyl]-ceramide |
| Hersteller: | Cayman Chemical |
| Hersteller-Nr: | 24629 |
Eigenschaften
| Anwendung: | Glycosphingolipid |
| MW: | 1093.4 D |
| Formel: | C56H104N2O18 (stearoyl) |
| Reinheit: | >98% |
| Format: | Solid |
Datenbank Information
| CAS : | 35960-33-9| Passende Produkte |
Handhabung & Sicherheit
| Lagerung: | -20°C |
| Versand: | +20°C (International: -20°C) |
Achtung
Nur für Forschungszwecke und Laboruntersuchungen: Nicht für die Anwendung im oder am Menschen!
Nur für Forschungszwecke und Laboruntersuchungen: Nicht für die Anwendung im oder am Menschen!
Hier folgen Informationen zur Produktreferenz.
mehr
Hier kriegen Sie ein Zertifikat
Loggen Sie sich ein oder registrieren Sie sich, um Analysenzertifikate anzufordern.
Bewertungen lesen, schreiben und diskutieren... mehr
Kundenbewertungen für "Asialo Ganglioside GM2"
Bewertung schreiben
Loggen Sie sich ein oder registrieren Sie sich, um eine Produktbewertung abzugeben.
Zuletzt angesehen