V-9302

V-9302
Artikelnummer Größe Datenblatt Manual SDB Lieferzeit Menge Preis
Cay27688-1 1 mg -

6 - 10 Werktage*

73,00 €
Cay27688-5 5 mg -

6 - 10 Werktage*

282,00 €
Cay27688-10 10 mg -

6 - 10 Werktage*

460,00 €
Cay27688-25 25 mg -

6 - 10 Werktage*

880,00 €
 
V-9302 is an inhibitor of amino acid transporter 2 (ASCT2). It inhibits glutamine uptake with... mehr
Produktinformationen "V-9302"
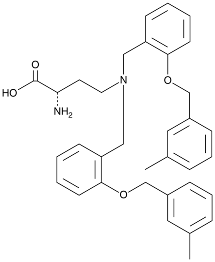
V-9302 is an inhibitor of amino acid transporter 2 (ASCT2). It inhibits glutamine uptake with IC50 values of 9 and 9.6 µM for the rat and human transporters, respectively. V-9302 also inhibits glutamine uptake in HEK293 cells and reduces cell viability of a variety of cancer cell lines, including HCT116, HT-29, COLO 205, and RKO cells (EC50s = 8.9, 9.4, 14.5, and 8.3 µM, respectively). It reduces glutamine uptake into tumor tissue and prevents tumor growth in HCT116 and HT-29 mouse xenograft models expressing K-RasG13D and BRAFV600E mutations, respectively, when administered at a dose of 75 mg/kg per day for 21 days.Formal Name: (2S)-2-amino-4-[bis[[2-[(3-methylphenyl)methoxy]phenyl]methyl]amino]-butanoic acid. CAS Number: 1855871-76-9. Molecular Formula: C34H38N2O4. Formula Weight: 538.7. Purity: >95%. Formulation: (Request formulation change), A crystalline solid. Solubility: DMF: 25 mg/ml, DMSO: 30 mg/ml, DMSO:PBS (pH 7.2) (1:2): 0.33 mg/ml, Ethanol: 20 mg/ml. SMILES: CC1=CC=CC(COC2=C(CN(CC3=C(OCC4=CC(C)=CC=C4)C=CC=C3)CC[C@H](N)C(O)=O)C=CC=C2)=C1. InChi Code: InChI=1S/C34H38N2O4/c1-25-9-7-11-27(19-25)23-39-32-15-5-3-13-29(32)21-36(18-17-31(35)34(37)38)22-30-14-4-6-16-33(30)40-24-28-12-8-10-26(2)20-28/h3-16,19-20,31H,17-18,21-24,35H2,1-2H3,(H,37,38)/t31-/m0/s1. InChi Key: YGKNVAAMULVFNN-HKBQPEDESA-N.
Schlagworte: (2S)-2-amino-4-[bis[[2-[(3-methylphenyl)methoxy]phenyl]methyl]amino]-butanoic acid
Hersteller: Cayman Chemical
Hersteller-Nr: 27688

Eigenschaften

Anwendung: ASCT2 inhibitor, competitive, selective transmembrane glutamine flux antagonist
MW: 538.7 D
Formel: C34H38N2O4
Reinheit: >95%

Datenbank Information

CAS : 1855871-76-9| Passende Produkte
KEGG ID : K05616 | Passende Produkte

Handhabung & Sicherheit

Lagerung: -20°C
Versand: -20°C (International: -20°C)
Achtung
Nur für Forschungszwecke und Laboruntersuchungen: Nicht für die Anwendung im oder am Menschen!
Hier kriegen Sie ein Zertifikat
oder , um Analysenzertifikate anzufordern.
Bewertungen lesen, schreiben und diskutieren... mehr
Kundenbewertungen für "V-9302"
Bewertung schreiben
oder , um eine Produktbewertung abzugeben.
Zuletzt angesehen