Thiamine (hydrochloride)

Thiamine (hydrochloride)
Artikelnummer Größe Datenblatt Manual SDB Lieferzeit Menge Preis
Cay25656-50 50 g -

6 - 10 Werktage*

52,00 €
Cay25656-100 100 g -

6 - 10 Werktage*

83,00 €
Cay25656-250 250 g -

6 - 10 Werktage*

174,00 €
Cay25656-500 500 g -

6 - 10 Werktage*

321,00 €
 
Thiamine is a water-soluble vitamin with antioxidant, neuroprotective, and anxiolytic properties.... mehr
Produktinformationen "Thiamine (hydrochloride)"
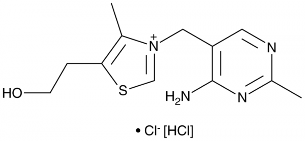
Thiamine is a water-soluble vitamin with antioxidant, neuroprotective, and anxiolytic properties. It inhibits lipid peroxidation in rat liver microsomes and free radical oxidation of oleic acid (Cay-90260) in vitro when used at concentrations ranging from 1 to 100 µM. In vivo, thiamine (100 mg/kg) reduces hepatic levels of aspartate aminotransferase (AST) and alanine aminotransferase (ALT), lipid peroxidation, and protein damage in a rat model of acute ethanol intoxication. It reverses predator stress-induced suppression of hippocampal neurogenesis and decreases the latency of step-down from a platform, indicating anxiolytic-like activity in mice. Thiamine (8.5 mg/100 g food) reduces neurodegeneration and increases survival in Slc19a3-/- mice, a model of thiamine metabolism dysfunction syndrome-2 (THMD-2).Formal Name: 3-[(4-amino-2-methyl-5-pyrimidinyl)methyl]-5-(2-hydroxyethyl)-4-methyl-thiazolium, monochloride, monohydrochloride. CAS Number: 67-03-8. Synonyms: Aneurine, Vitamin B1. Molecular Formula: C12H17N4OS . Cl [HCl]. Formula Weight: 337.3. Purity: >98%. Formulation: (Request formulation change), A crystalline solid. Solubility: PBS (pH 7.2): 10 mg/ml. lambdamax: 241 nm. SMILES: CC1=NC(N)=C(C[N+]2=CSC(CCO)=C2C)C=N1.[Cl-].Cl. InChi Code: InChI=1S/C12H17N4OS.2ClH/c1-8-11(3-4-17)18-7-16(8)6-10-5-14-9(2)15-12(10)13,,/h5,7,17H,3-4,6H2,1-2H3,(H2,13,14,15),2*1H/q+1,,/p-1. InChi Key: DPJRMOMPQZCRJU-UHFFFAOYSA-M.
Schlagworte: Aneurine, Vitamin B1, 3-[(4-amino-2-methyl-5-pyrimidinyl)methyl]-5-(2-hydroxyethyl)-4-methyl-thiazolium, monochloride, monohydrochloride
Hersteller: Cayman Chemical
Hersteller-Nr: 25656

Eigenschaften

Anwendung: Water-soluble, antioxidant, neuroprotective, anxiolytic vitamin
MW: 337.3 D
Formel: C12H17N4OS . Cl [HCl]
Reinheit: >98%
Format: Crystalline Solid

Datenbank Information

CAS : 67-03-8| Passende Produkte

Handhabung & Sicherheit

Lagerung: -20°C
Versand: +20°C (International: -20°C)
Signalwort: Warning
GHS-Piktogramme:
H-Sätze: H319
P-Sätze: P264, P280, P305+P351+P338, P337+P313
Achtung
Nur für Forschungszwecke und Laboruntersuchungen: Nicht für die Anwendung im oder am Menschen!
Hier kriegen Sie ein Zertifikat
oder , um Analysenzertifikate anzufordern.
Bewertungen lesen, schreiben und diskutieren... mehr
Kundenbewertungen für "Thiamine (hydrochloride)"
Bewertung schreiben
oder , um eine Produktbewertung abzugeben.
Zuletzt angesehen