Diese Website benutzt Cookies, die für den technischen Betrieb der Website erforderlich sind und stets gesetzt werden. Andere Cookies, die den Komfort bei Benutzung dieser Website erhöhen, der Direktwerbung dienen oder die Interaktion mit anderen Websites und sozialen Netzwerken vereinfachen sollen, werden nur mit Ihrer Zustimmung gesetzt.
Konfiguration
Technisch erforderlich
Diese Cookies sind für die Grundfunktionen des Shops notwendig.
"Alle Cookies ablehnen" Cookie
"Alle Cookies annehmen" Cookie
Ausgewählter Shop
CSRF-Token
Cookie-Einstellungen
FACT-Finder Tracking
Individuelle Preise
Kundenspezifisches Caching
Session
Währungswechsel
Komfortfunktionen
Diese Cookies werden genutzt um das Einkaufserlebnis noch ansprechender zu gestalten, beispielsweise für die Wiedererkennung des Besuchers.
Facebook-Seite in der rechten Blog - Sidebar anzeigen
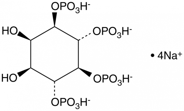
D-myo-Inositol-1,4,5,6-tetraphosphate (sodium salt) (Ins(1,4,5,6)-P4) is one of several different inositol oligophosphate isomers implicated in signal transduction. Production of Ins(1,4,5,6)-P4 by intestinal epithelial cells increases approximately 2-14 fold, depending on the strain and incubation time, following infection with Salmonella. Ins(1,4,5,6)-P4 antagonizes epidermal growth factor (EGF) signalling through the phosphatidylinositol 3-kinase pathway. Ins(1,4,5,6)-P4 (tested as the D/L racemic mixture) is ~1,000-fold less potent than Ins(1,4,5)-P3 at initiating Ca2+ release when injected into Xenopus oocytes.Formal Name: D-myo-inositol-1,4,5,6-tetra(hydrogen phosphate), tetrasodium salt. CAS Number: 157542-47-7. Synonyms: Ins(1,4,5,6)-P4, 1,4,5,6-IP4. Molecular Formula: C6H12O18P4 . 4Na. Formula Weight: 588.0. Purity: >98%. Formulation: (Request formulation change), A lyophilized powder. SMILES: O[C@@H]1[C@H](O)[C@@H](OP([O-])(O)=O)[C@H](OP([O-])(O)=O)[C@@H](OP([O-])(O)=O)[C@@H]1OP([O-])(O)=O.[Na+].[Na+].[Na+].[Na+]. InChi Code: InChI=1S/C6H16O18P4.4Na/c7-1-2(8)4(22-26(12,13)14)6(24-28(18,19)20)5(23-27(15,16)17)3(1)21-25(9,10)11,,,,/h1-8H,(H2,9,10,11)(H2,12,13,14)(H2,15,16,17)(H2,18,19,20),,,,/q,4*+1/p-4/t1-,2+,3?,4?,5?,6?,,,,. InChi Key: DZJJWPAQUIBBLR-GUBBRYCUSA-J.
Schlagworte:
1,4,5,6-IP4, Ins(1,4,5,6)-P4, D-myo-inositol-1,4,5,6-tetra(hydrogen phosphate), tetrasodium salt
Diese Website benutzt Cookies, die für den technischen Betrieb der Website erforderlich sind und stets gesetzt werden. Andere Cookies, die den Komfort bei Benutzung dieser Website erhöhen, der Direktwerbung dienen oder die Interaktion mit anderen Websites und sozialen Netzwerken vereinfachen sollen, werden nur mit Ihrer Zustimmung gesetzt.
Mehr Informationen