Cookie-Einstellungen
Diese Website benutzt Cookies, die für den technischen Betrieb der Website erforderlich sind und stets gesetzt werden. Andere Cookies, die den Komfort bei Benutzung dieser Website erhöhen, der Direktwerbung dienen oder die Interaktion mit anderen Websites und sozialen Netzwerken vereinfachen sollen, werden nur mit Ihrer Zustimmung gesetzt.
Konfiguration
Technisch erforderlich
Diese Cookies sind für die Grundfunktionen des Shops notwendig.
"Alle Cookies ablehnen" Cookie
"Alle Cookies annehmen" Cookie
Ausgewählter Shop
CSRF-Token
Cookie-Einstellungen
FACT-Finder Tracking
Individuelle Preise
Kundenspezifisches Caching
Session
Währungswechsel
Komfortfunktionen
Diese Cookies werden genutzt um das Einkaufserlebnis noch ansprechender zu gestalten, beispielsweise für die Wiedererkennung des Besuchers.
Facebook-Seite in der rechten Blog - Sidebar anzeigen
Merkzettel
Statistik & Tracking
Endgeräteerkennung
Kauf- und Surfverhalten mit Google Tag Manager
Partnerprogramm
Bei Fragen nutzen Sie gerne unser Kontaktformular.
Bestellen Sie auch per E-Mail: info@biomol.com
Größere Menge gewünscht? Bulk-Anfrage
Bestellen Sie auch per E-Mail: info@biomol.com
Größere Menge gewünscht? Bulk-Anfrage
Bacopaside II is a triterpene glycoside found in B. monnieri that has neuroprotective,... mehr
Produktinformationen "Bacopaside II"
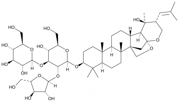
Bacopaside II is a triterpene glycoside found in B. monnieri that has neuroprotective, anti-angiogenic, and anticancer activities. Bacopaside II (0.4 mg/ml) decreases hydrogen peroxide-induced intracellular reactive oxygen species (ROS) production and cell death in N2a neuroblastoma cells. It decreases immobility time in the forced swim and tail suspension tests in mice, indicating anti-depressant like activity, when administered at a dose of 50 mg/kg. Bacopaside II decreases migration and tube formation in 2H11 and 3B11 cells, as well as human umbilical vein endothelial cells (HUVECs) when used at concentrations greater than 15 µM. Bacopaside II inhibits the growth of MDA-MB-231, SHG-44, HCT8, A549, and PC3M cancer cells (IC50s = 32.4, 36.9, 40.3, 44.4, and 45.4 µM, respectively).Formal Name: (1S,2R,4aR,6aS,6bR,8aR,10S,12aR,12bR,14aR,14bS)-hexadecahydro-1-hydroxy-1,6b,9,9,12a-pentamethyl-2-(2-methyl-1-propen-1-yl)-4a,6a-methano-1H,6H-phenanthro[2,1-d]pyrano[2,3-b]pyran-10-yl O-alpha-L-arabinofuranosyl-(1->2)-O-[beta-D-glucopyranosyl-(1->3)]-beta-D-glucopyranoside. CAS Number: 382146-66-9. Molecular Formula: C47H76O18. Formula Weight: 929.1. Purity: >95%. Formulation: (Request formulation change), A crystalline solid. Solubility: Methanol: soluble. SMILES: O[C@@H]1[C@@H](O)[C@H](CO)O[C@@]1([H])O[C@@H]2[C@@H](O[C@]3([H])O[C@H](CO)[C@@H](O)[C@H](O)[C@H]3O)[C@H](O)[C@@H](CO)O[C@@]2([H])O[C@H]4CC[C@@]5(C)[C@](CC[C@]6(C)[C@]5([H])CC[C@@]7([H])[C@@]68C[C@@]9(OC8)[C@]7([H])[C@@](C)(O)[C@H](/C=C(C)\C)CO9)([H])C4(C)C. InChi Code: InChI=1S/C47H76O18/c1-21(2)14-22-18-58-47-19-46(20-59-47)23(38(47)45(22,7)57)8-9-28-43(5)12-11-29(42(3,4)27(43)10-13-44(28,46)6)63-41-37(65-39-34(55)31(52)25(16-49)61-39)36(32(53)26(17-50)62-41)64-40-35(56)33(54)30(51)24(15-48)60-40/h14,22-41,48-57H,8-13,15-20H2,1-7H3/t22-,23-,24-,25+,26-,27+,28-,29+,30-,31+,32-,33+,34-,35-,36+,37-,38+,39+,40+,41+,43+,44-,45+,46+,47-/m1/s1. InChi Key: WZWPYJOPCULCLQ-UOXCDNDQSA-N. Origin: Plant/Bacopa monnieri (L.).
| Schlagworte: | (1S,2R,4aR,6aS,6bR,8aR,10S,12aR,12bR,14aR,14bS)-hexadecahydro-1-hydroxy-1,6b,9,9,12a-pentamethyl-2-(2-methyl-1-propen-1-yl)-4a,6a-methano-1H,6H-phenanthro[2,1-d]pyrano[2,3-b]pyran-10-yl O-alpha-L-arabinofuranosyl-(1->2)-O-[beta-D-glucopyranosyl-(1->3)]-be |
| Hersteller: | Cayman Chemical |
| Hersteller-Nr: | 11822 |
Eigenschaften
| Anwendung: | Neuroprotective, antiangiogenic, anticancer triterpene glycoside |
| MW: | 929.1 D |
| Formel: | C47H76O18 |
| Reinheit: | >95% |
| Format: | Crystalline Solid |
Datenbank Information
| CAS : | 382146-66-9| Passende Produkte |
Handhabung & Sicherheit
| Lagerung: | -20°C |
| Versand: | +20°C (International: -20°C) |
Achtung
Nur für Forschungszwecke und Laboruntersuchungen: Nicht für die Anwendung im oder am Menschen!
Nur für Forschungszwecke und Laboruntersuchungen: Nicht für die Anwendung im oder am Menschen!
Hier folgen Informationen zur Produktreferenz.
mehr
Hier kriegen Sie ein Zertifikat
Loggen Sie sich ein oder registrieren Sie sich, um Analysenzertifikate anzufordern.
Bewertungen lesen, schreiben und diskutieren... mehr
Kundenbewertungen für "Bacopaside II"
Bewertung schreiben
Loggen Sie sich ein oder registrieren Sie sich, um eine Produktbewertung abzugeben.
Zuletzt angesehen