AM1172

AM1172
Artikelnummer Größe Datenblatt Manual SDB Lieferzeit Menge Preis
Cay10005223-5 5 mg -

6 - 10 Werktage*

133,00 €
Cay10005223-10 10 mg -

6 - 10 Werktage*

251,00 €
Cay10005223-50 50 mg -

6 - 10 Werktage*

925,00 €
Cay10005223-100 100 mg -

6 - 10 Werktage*

1.451,00 €
 
Numerous analogs of arachidonoyl ethanolamide (AEA) potentiate its biological activity. This... mehr
Produktinformationen "AM1172"
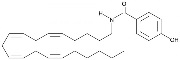
Numerous analogs of arachidonoyl ethanolamide (AEA) potentiate its biological activity. This potentiation is ascribed either to inhibition of AEA reuptake into neurons, or inhibition of fatty acid amide hydrolase (FAAH) within the neurons. AM1172 is an endocannabinoid analog specifically designed to be a potent and selective inhibitor of AEA uptake that is resistant to FAAH hydrolysis. Structurally, AM1172 is the "reversed" isomer of AM404, constructed using arachidonyl amine, this may account for its metabolic stability. In mouse cortical neurons, AM1172 blocked the uptake of tritiated AEA with an EC50 of about 1.5 µM.Formal Name: N-5Z,8Z,11Z,14Z-eicosatetraenyl-4-hydroxy-benzamide. CAS Number: 251908-92-6. Molecular Formula: C27H39NO2. Formula Weight: 409.6. Purity: >98%. Formulation: (Request formulation change), A solution in ethanol. Solubility: DMF: 30 mg/ml, DMSO: 30 mg/ml, Ethanol: 30 mg/ml, PBS (pH 7.2): .15 mg/ml. lambdamax: 209, 253 nm. SMILES: CCCCC/C=C\C/C=C\C/C=C\C/C=C\CCCCNC(=O)c1ccc(O)cc1. InChi Code: InChI=1S/C27H39NO2/c1-2-3-4-5-6-7-8-9-10-11-12-13-14-15-16-17-18-19-24-28-27(30)25-20-22-26(29)23-21-25/h6-7,9-10,12-13,15-16,20-23,29H,2-5,8,11,14,17-19,24H2,1H3,(H,28,30)/b7-6-,10-9-,13-12-,16-15-. InChi Key: XCWBOAHOJHPWLA-DOFZRALJSA-N.
Schlagworte: N-5Z,8Z,11Z,14Z-eicosatetraenyl-4-hydroxy-benzamide
Hersteller: Cayman Chemical
Hersteller-Nr: 10005223

Eigenschaften

Anwendung: Endocannabinoid analog
MW: 409.6 D
Formel: C27H39NO2
Reinheit: >98%
Format: Solution

Datenbank Information

CAS : 251908-92-6| Passende Produkte

Handhabung & Sicherheit

Lagerung: -20°C
Versand: +20°C (International: -20°C)
Signalwort: Danger
GHS-Piktogramme:
H-Sätze: H225, H319
P-Sätze: P210, P233, P240, P241, P242, P243, P264, P280, P303+361+353, P305+351+338, P337+313, P370+378, P403+235, P501
Achtung
Nur für Forschungszwecke und Laboruntersuchungen: Nicht für die Anwendung im oder am Menschen!
Hier kriegen Sie ein Zertifikat
oder , um Analysenzertifikate anzufordern.
Bewertungen lesen, schreiben und diskutieren... mehr
Kundenbewertungen für "AM1172"
Bewertung schreiben
oder , um eine Produktbewertung abzugeben.
Zuletzt angesehen